EasyManua.ls Logo

Motorola TLKR T60

Motorola TLKR T60
134 pages
To Next Page IconTo Next Page
To Next Page IconTo Next Page
To Previous Page IconTo Previous Page
To Previous Page IconTo Previous Page
Loading...
7
Українськ
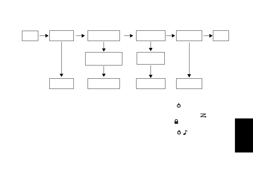
Меню режимів
Перехід між елементами меню режимів здійснюється в
такому порядку:
Функції радіопристрою
Режим сканування каналів
У цьому режимі радіопристрій здійснює сканування каналів
на наявність радіообміну в них. За виявлення радіообміну в
каналі, радіопристрій перемикається на активний канал і
призупиняється на ньому (на 2 секунди). Щоб здійснити
передачу на цьому каналі, натисніть кнопку PTT. Коли
радіообмін на активному каналі буде завершено,
радіопристрій продовжить сканування інших каналів.
Щоб активувати сканування каналів, виконайте такі дії:
1. Натисніть кнопку MENU/ , щоб увійти до меню режимів.
Продовжуйте перехід між параметрами меню, доки на
дисплеї не почне блимати піктограма .
2. Натисніть кнопку SEL/ , щоб активувати сканування
каналів.
3. Натисніть кнопку MENU/ , або PTT, щоб вийти з
режиму сканування.
Вибір рівня
чутливості
Звичайний
режим
Режим
сканування
Режим моніторингу
двох каналів
Режим моніторингу
навколишніх звуків
Режим таймера з
витримкою
Вибір каналу та
додаткового коду
Звичайний
режим
Режим таймера з
витримкою
Режим моніторингу
навколишніх звуків
Режим моніторингу
двох каналів
Режим
сканування
68015000925_b_UK.fm Page 7 Friday, February 24, 2017 11:07 AM

Table of Contents

Related product manuals