EasyManua.ls Logo

Motorola TLKR T60

Motorola TLKR T60
134 pages
To Next Page IconTo Next Page
To Next Page IconTo Next Page
To Previous Page IconTo Previous Page
To Previous Page IconTo Previous Page
Loading...
Nederlands
6
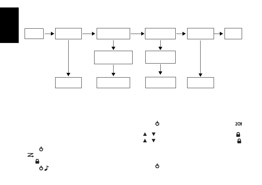
Mode Menu
De radio kan als volgt door het Mode Menu navigeren:
Functies van de radio
Kanaalscanmodus
Hiermee kan de radio scannen om actieve kanalen te zoeken.
Wanneer er activiteit wordt waargenomen, dan "landt" (blijft) de
radio op dat kanaal (gedurende 2 seconden). Druk op de PTT-
toets om op dat kanaal uit te zenden. Wanneer het kanaal niet
langer actief is, gaat de radio verder met het scannen naar
andere kanalen.
De kanaalscan inschakelen:
1. MENU/ om naar het Mode Menu te gaan. Ga door tot
knippert.
2. SEL/ om kanaalscan in te schakelen.
3. MENU/ of PTT om de scanmodus uit te schakelen.
Dubbele scanmodus
Hiermee kunt u om en om op het huidige kanaal en op een
ander kanaal scannen.
Een ander kanaal instellen en dubbel scannen starten:
1. MENU/ om naar het Mode Menu te gaan. Ga door tot
knippert.
2. of om het kanaal te selecteren. Druk daarna op SEL/.
3. of om de subcode te selecteren. Druk daarna op SEL/.
4. De radio begint met dubbel scannen.
Opmerking: Als u hetzelfde kanaal en subcode instelt
als het huidige kanaal, dan werkt dubbel
scannen niet.
5. MENU/ om dubbel scannen uit te schakelen.
Selecteer de
gevoeligheid
Normaal
Scanmodus
Dubbele
scanmodus
Ruimtemonitor-
modus
Uptimermodus
Kies het kanaal en de
subcode
Normaal
Scanmodus
Dubbele
scanmodus
Ruimtemonitor-
modus
Uptimermodus
68015000925_a.book Page 6 Friday, February 24, 2017 10:30 AM

Table of Contents

Related product manuals