EasyManua.ls Logo

Motorola TLKR T60

Motorola TLKR T60
134 pages
To Next Page IconTo Next Page
To Next Page IconTo Next Page
To Previous Page IconTo Previous Page
To Previous Page IconTo Previous Page
Loading...
Svenska
6
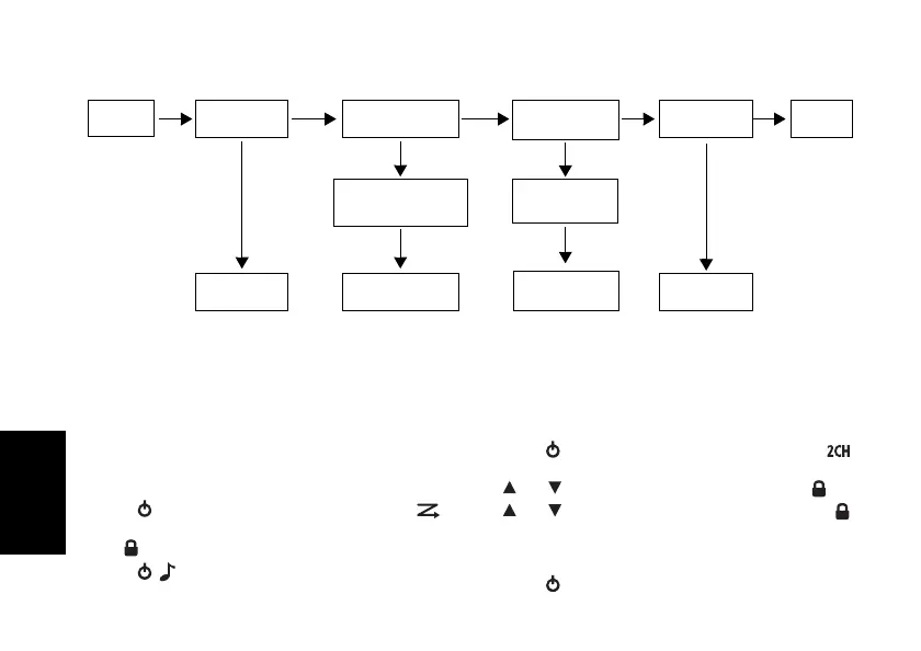
Menyn Mode (läge)
Radion navigerar genom menyn Mode (läge) enligt följande:
Radions funktioner
Kanalskanningsläge
Gör det möjligt för radion att skanna efter aktiva kanaler. När
aktivitet upptäcks stannar radion på den kanalen (i två sekunder).
Om du vill sända från den kanalen trycker duPTT-knappen.
När aktiviteten på kanalen tar slut fortsätter radion att skanna av
andra kanaler.
Så här aktiverar du kanalskanning:
1. MENU/ för att visa menyn Mode (läge). Navigera tills
blinkar.
2. SEL/ för att aktivera kanalskanningen.
3. MENU/, eller PTT för att avaktivera skanningsläget.
Dubbelbevakningsläge
Gör det möjligt att växelvis skanna av aktuell kanal och en
kanal till.
Så här ställer du in en annan kanal och aktiverar
dubbelbevakningsläget:
1. MENU/ för att visa menyn Mode (läge). Navigera tills
blinkar.
2. eller för att välja kanal och tryck sedan på SEL/.
3. eller för att välja underkod och tryck sedanSEL/.
4. Dubbelbevakningsläget aktiveras.
Obs! Dubbelbevakning fungerar inte om du ställer in
samma kanal och underkod som aktuell kanal.
5. MENU/ för att avaktivera dubbelbevakningsläget.
Välj känslighet
Normal
Skanningsläge
Dubbelbevakningsl
äge
Rumsmonitorläge
Timerläge
Välj kanal och
underkod
Normal
Skanningsläge
Dubbelbevakningsl
äge
Rumsmonitorläge
Timerläge
68015000925_a.book Page 6 Friday, February 24, 2017 10:30 AM

Table of Contents

Related product manuals