EasyManua.ls Logo

Narada REXC Series - Page 15

Narada REXC Series
20 pages
Print Icon
To Next Page IconTo Next Page
To Next Page IconTo Next Page
To Previous Page IconTo Previous Page
To Previous Page IconTo Previous Page
Loading...
Narada Power Source Co., Ltd. REXC operation manual V1.2
15
equalization charge voltage, meanwhile, the current is reduced, till the charge
finished. The charging time is 24 hours.
4.2 Charge after discharge
After discharge, the batteries should be charged in time. The charge method is
constant current limit voltage as follows: charge with constant current of
0.1C
10
A0.20C
10
A till the average voltage reaches a certain voltage, then keep
charging with this voltage, meanwhile, the current is reduced, till the charge
finished.
The certain voltage could be equalization voltage or float voltage. When the depth
of discharge is larger (normally larger than 10%), equalization voltage is
recommended so as to give fully charge to the battery. We can also determine
charge voltage according to initial current. When the current is larger than
0.05C10A (reference current to change to equalization charge), equalization
voltage is recommended. The charge time is 24 hours. We can also setup the
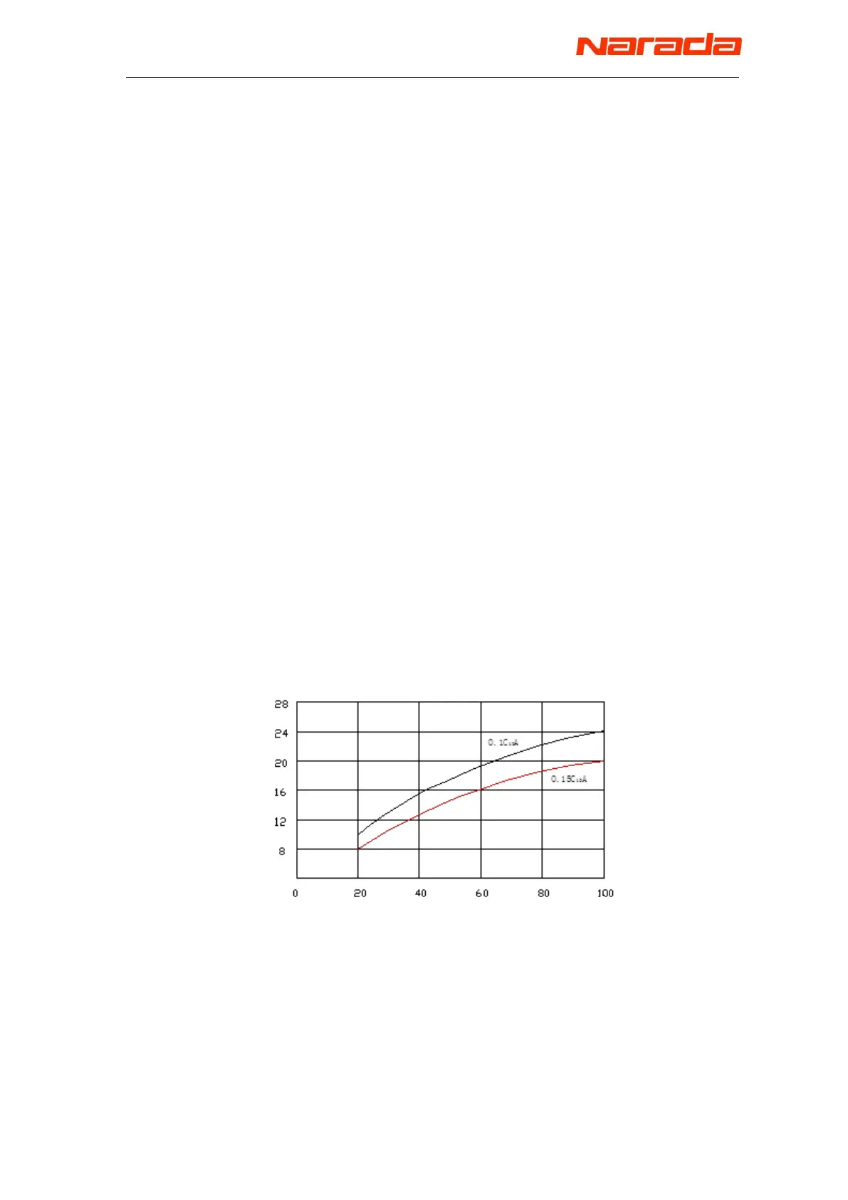
charge voltage according to different DOD, different charge current shown in
figure 3-4, or we can judge according to charge current value.
Normally, the batteries are fully charged when the value of charge current is not
changed for continuous three hours at the stage of constant voltage charge.
Sometimes, we need to charge a battery in a short time, we can raise charge
current, but not higher than 0.25C10A.
Fig .3-4 The relationship between DOD and charge time
4.3 Battery recharging method
This method is used for battery charging for the first time after installing or battery
recharging after long time storage.
Recharging parameter
We use equalizing charge to recharge the batteries, the parameter is as below:
Charge
time(h)
Depth of discharge (DOD %)

Related product manuals