EasyManua.ls Logo

Omron X102 Total - Nebulizer Kit Particle Size Measurements

Omron X102 Total
18 pages
Print Icon
To Next Page IconTo Next Page
To Next Page IconTo Next Page
To Previous Page IconTo Previous Page
To Previous Page IconTo Previous Page
Loading...
15
EN
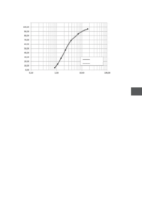
Nebulizer Kit: Result of cascade impactor measurements for particle
VL]H
Cumulative % particle mass of sodium fluoride undersize
Cumulative Undersize%
3DUWLFOH6L]H'SȝP
Mean
Individual
Notes:
Performance may vary with drugs such as suspensions or high viscosity.
See drug supplier’s data sheet for further details
 7KH1HEXOL]DWLRQUDWHLVPHDVXUHGZLWKVDOLQHVROXWLRQDW&ZLWKPO
of medication. It can vary with medication and ambient conditions.
Nasal shower:
Appropriate Solution
Quantities: 3 ml minimum - 15 ml maximum
Particle Size: RISDUWLFOHV!ȝP
Nebulization Rate
(by weight loss): more than 5 ml/min (NaCl 0.9%)

Related product manuals