EasyManua.ls Logo

Panasonic CS-A24BD3P - Page 67

Panasonic CS-A24BD3P
167 pages
Print Icon
To Next Page IconTo Next Page
To Next Page IconTo Next Page
To Previous Page IconTo Previous Page
To Previous Page IconTo Previous Page
Loading...
CS-A28BD3P
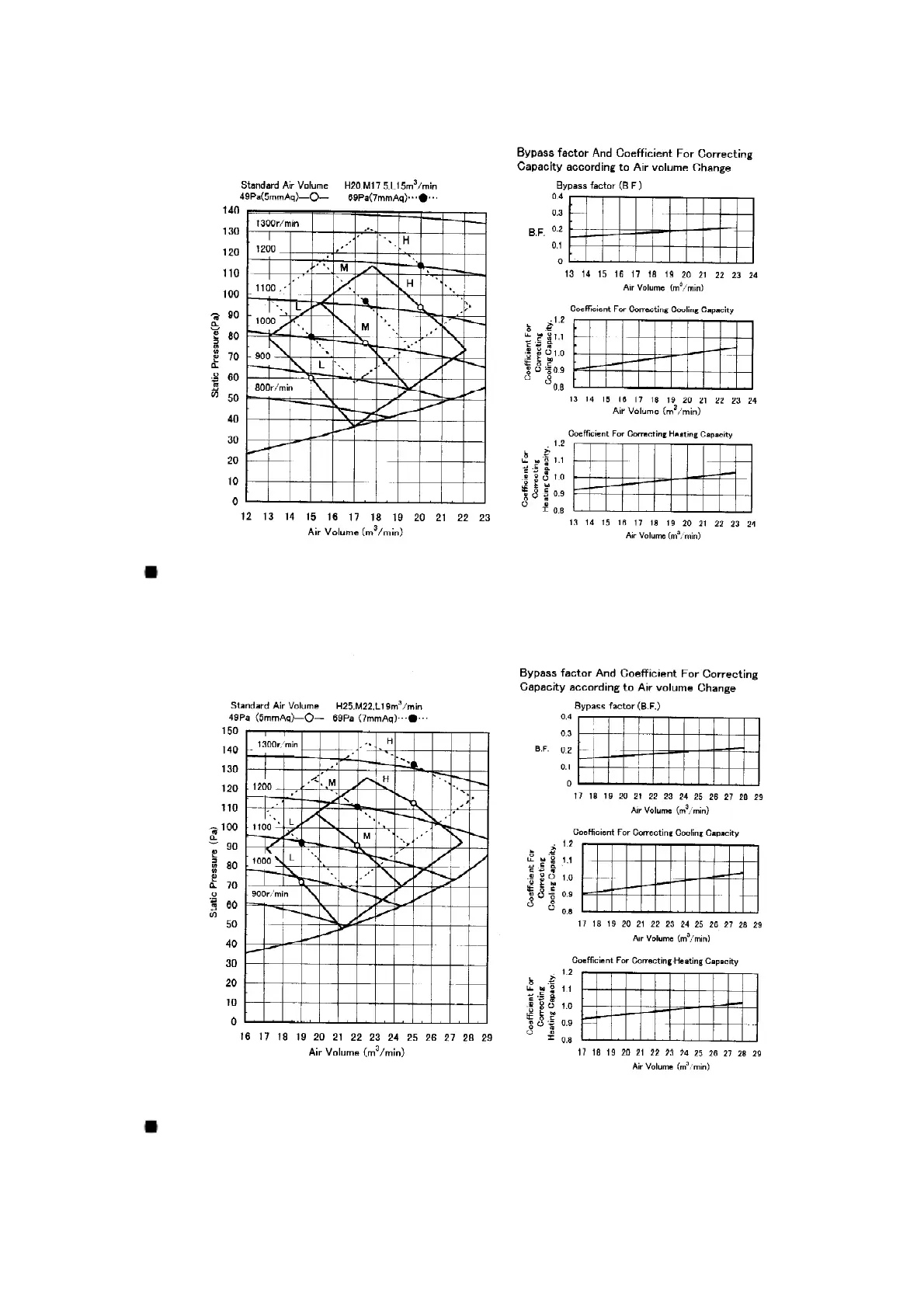
Fan Performance Curve
/
CS-A34BD3P
Fan Performance Curve

Related product manuals