EasyManua.ls Logo

Panasonic CS-E12PKR - Page 131

Panasonic CS-E12PKR
205 pages
Print Icon
To Next Page IconTo Next Page
To Next Page IconTo Next Page
To Previous Page IconTo Previous Page
To Previous Page IconTo Previous Page
Loading...
131
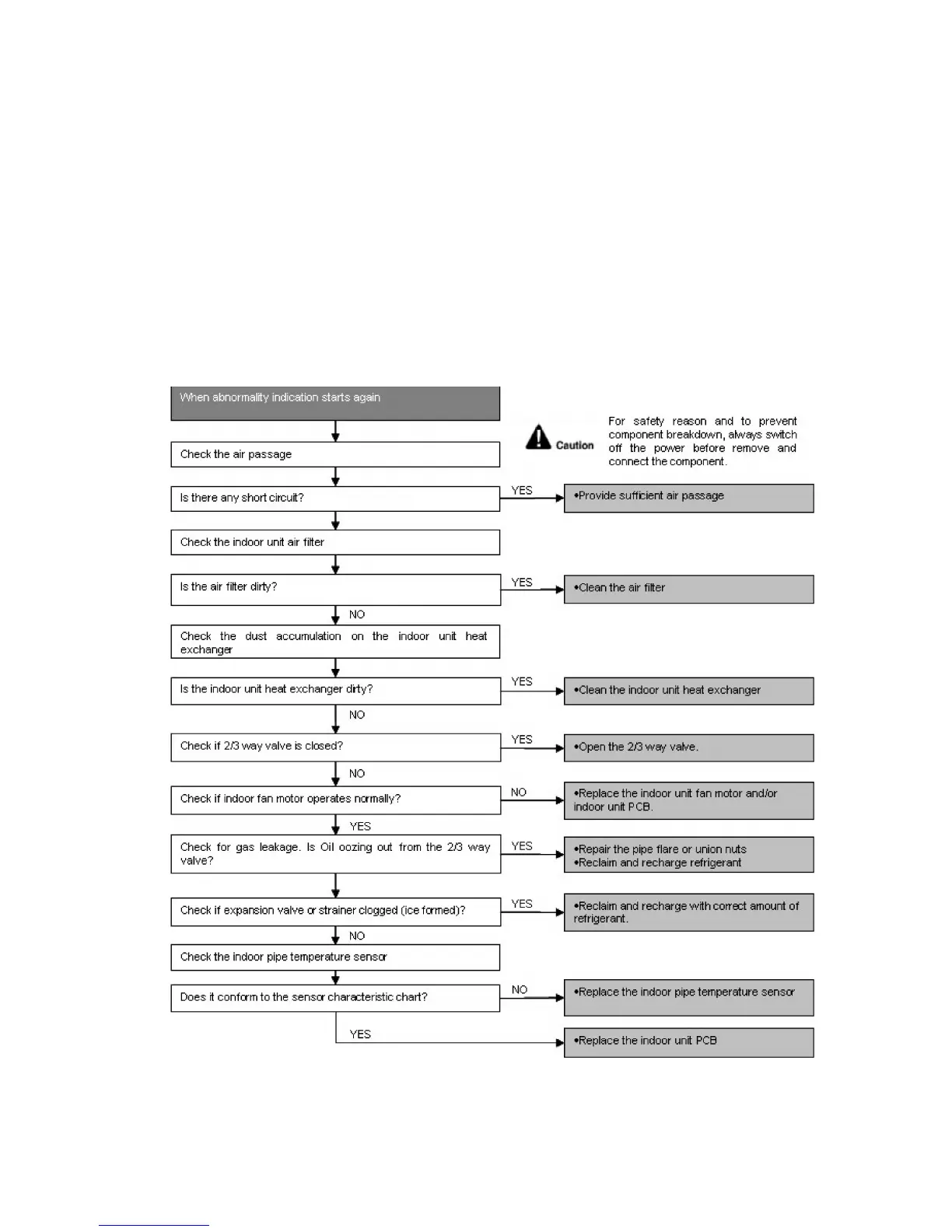
16.4.19 H99 (Indoor Freeze Prevention Protection: Cooling or Soft Dry)
Error Code will not display (no Timer LED blinking) but store in EEPROM
Malfunction Decision Conditions
Freeze prevention control takes place (when indoor pipe temperature is lower than 2°C)
Malfunction Caused
Air short circuit at indoor unit
Clogged indoor unit air filter
Dust accumulation on the indoor unit heat exchanger
2/3 way valve closed
Faulty indoor unit fan motor
Refrigerant shortage (refrigerant leakage)
Clogged expansion valve or strainer
Faulty indoor pipe temperature sensor
Faulty indoor unit PCB
Troubleshooting

Table of Contents

Other manuals for Panasonic CS-E12PKR

Related product manuals