EasyManua.ls Logo

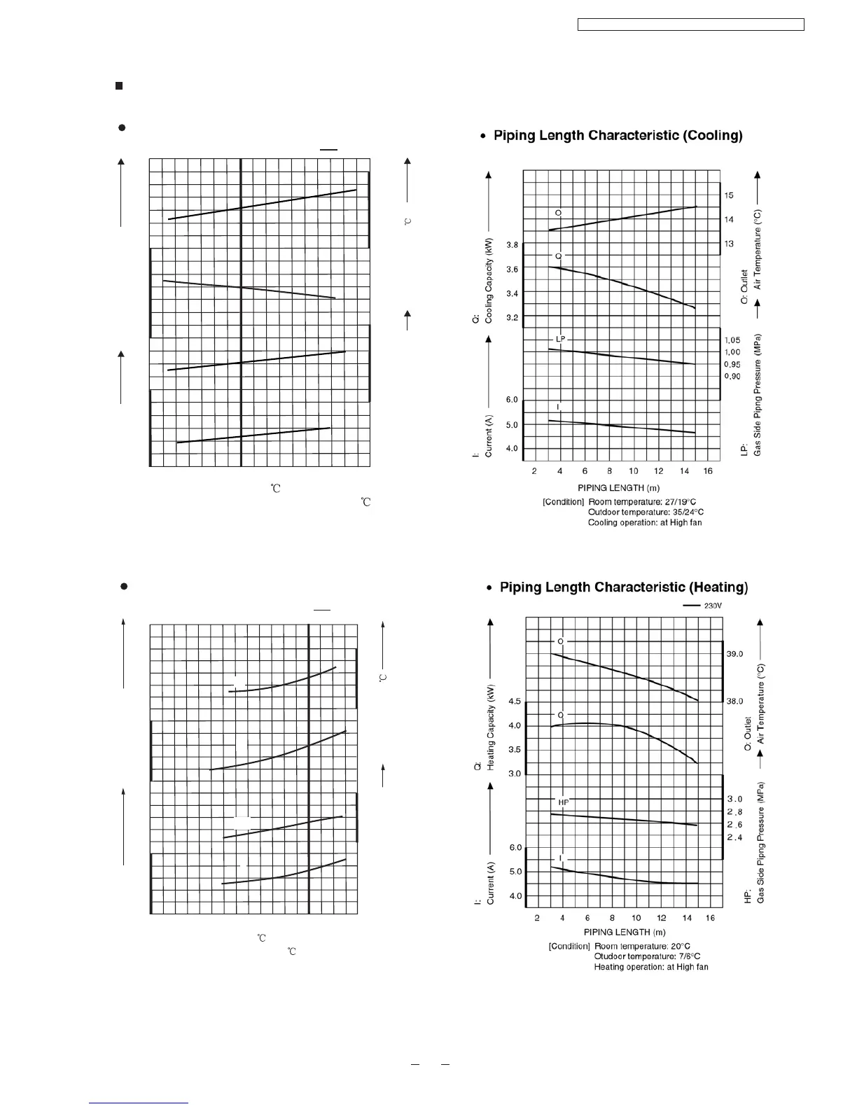
Panasonic CU-PW9DKE - 13 Technical Data (Continued); Cooling Characteristics (PW12 DKE); Heating Characteristics (PW12 DKE); Piping Length Characteristic (Cooling PW12 DKE)

Panasonic CU-PW9DKE
64 pages
Print Icon
To Next Page IconTo Next Page
To Next Page IconTo Next Page
To Previous Page IconTo Previous Page
To Previous Page IconTo Previous Page
Loading...
30
32
34
36
38
40
42
44
17
16
15
14
13
0.70
0.65
0.60
0.55
0.50
3.8
3.6
3.4
3.2
3.0
2.8
7.0
6.0
5.0
4.0
I: Current (A)
Q: Cooling capacity (kW)
LP: Gas side piping
pressure (Mpa)
O:Outlet air temp( )
Outdoor temp( )
[Condition] Room temp: 27/19
Cooling operation:at high speed
Piping length:7.5m
230V
CS-PW9DKE / CU-PW9DKE / CS-PW12DKE / CU-PW12DKE
Piping Length Characteristics
57
CS/CU-PW12DKE
Cooling characteristics
Operation characteristics
Outdoor temp( )
[Condition] Room temp: 20
Heating operation:at high speed
Piping length:7.5m
I: current (A)
Q: Heating capacity (kW)
HP:Gas side piping
Pressure (Mpa)
O:Outlet Air temp( )
4.0
3.8
3.6
3.4
5.0
4.0
3.0
2.0
39
38
37
36
3.0
2.8
2.6
-4
0
24
6
10
230V
8
Heating characteristics
-2
O
Q
LP
I

Related product manuals