EasyManua.ls Logo

Panasonic SU-CH80 - Page 48

Panasonic SU-CH80
53 pages
Print Icon
To Next Page IconTo Next Page
To Next Page IconTo Next Page
To Previous Page IconTo Previous Page
To Previous Page IconTo Previous Page
Loading...
.
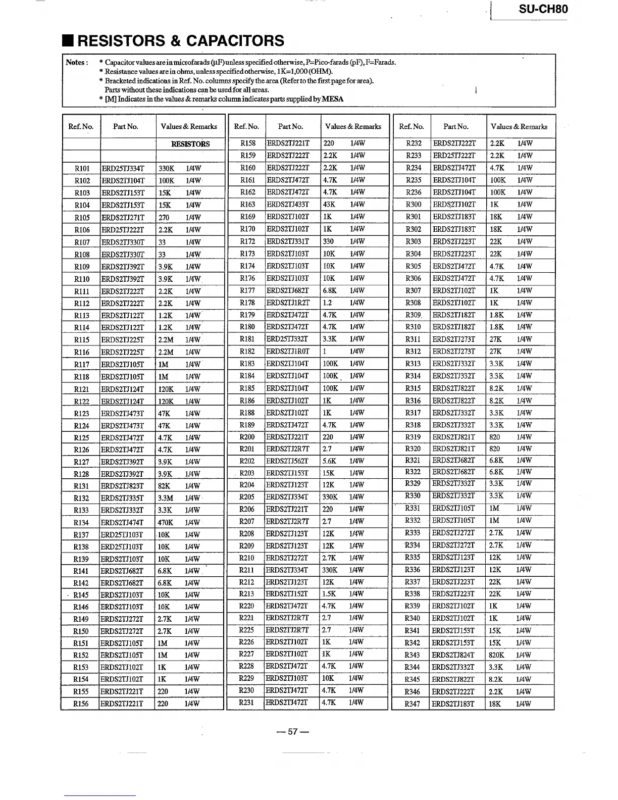
R & C
No
* Capare@F)urd( F
*.Rea o unleIK
* Braci N cos t (lta
P switicanb
I
* ~Jnd&rcolsn
R N
PaValR N
P VaR N P N
V
RR
R
ER2 I R E
2 1
R
ER2 l R E
2
U
R ER3 U
R
ER2 I R E
4
l
R ERl l
R
ER4 U R E
l 1
R ER1 1
R
ER4 l
R E
l 1
R ER
1 1
R
ER4 1 R E
l
l
R ER
2 I
R
ERl 1 R
E
1 l
R ER2 l
R
ERI l
R E
1
U
R ER3
U
R
ER
3 U R E
2 U
R ER3 1
R
ER
1 1 R E
2
1
R ER3 1
R
ER1 l
R E
4 U
R ER3 U
R
ERI 1 R E
4 U
R ER
2
I
R
ER6 l R E
l 1
R ER2 U
R
ER1 l R E
l
1
R ER1 1
R
ER4 1 R
E
1 1
R ERL
U
R
ER4 1 R
E
1 1
R ER2 U
R IE
3 U
R E
2 I
R ER2 I R
ER
I
1 R E
2 1
R ERl U
R
ER1 U R E
3
1
R ERl
I
R
ERI U
R E
3 1
R ER1 l
R
ERI U R E
8 u
R ER1 U
R
ERl U R E
8 1
R ER4 U
R
ERl l R E
3 l
R ER
4 1
R
ER4 1 R
E
3 l
R ER4 1
R
ER2 I R E
8 U
R ER4 l
R
ER2 U
R E
8 l
R ER
3 U
R
ER5 l
R E
6 l
R ER3 l
R
ER1 l
R
E
6 U
R
ER
8 l
R
ER1 l
R E
3
U
R ER
3 1
R
ER3 1
R E
3 1
R
ER
3 1
R
ER2 1
R E
l U
R ER4 U
R
ER2
U
R F
l U
R ER
1 l
R
ER1 U
R E
2 1
R ER1 U
R
ER1 l
E
2 U
R ER1
l
R
ER2 U
R E
1 I
R ER
6 1
R
ER3 l
R E
1 l
R ER
6 1
R
ER1 1
R E
2 1
R ER
I U
R
ER1 U R E
2 U
R ER
I 1
R
ER4 1 R E
I U
R ER2 U
R
ER
2 U
R E
I
U
R ER
2 l
R
ER2 I
R E
1 I
R ERl
1
R
ERl 1
R E
1 U
R ERl 1
R
ERI I
R E
8 l
R ERl
l
R
ER4 U
R E
3 l
R ERl
1
R
ER1 1
R E
8 U
R ER2
U
R
ER4 l
R E
2 U
R ER
2 1
R ER
4 U
R E
1 U
—57-

Table of Contents

Related product manuals