EasyManua.ls Logo

Pedelec Impulse 2.0 - The Motor; Motor Operation and Power; Understanding Pedelec Range

Pedelec Impulse 2.0
29 pages
Print Icon
To Next Page IconTo Next Page
To Next Page IconTo Next Page
To Previous Page IconTo Previous Page
To Previous Page IconTo Previous Page
Loading...
24 Original User Manual | Pedelec Impulse 2.0
ing with and without power assist may seem more
or less abrupt.
8.2 Range
The distance you can travel using the power assist with
the battery lly charged depends on several factors:
Selected assist level
If you want to cover a large distance with power
assist, select the smaller gears, i.e. the ones that
are easier to pedal. Also select a low assist level
(ECO.
Handling
If you are riding in gears that are harder to pedal
and select a high assist level, the motor will pro-
duce plenty of power to help you along. However,
just as with driving a car at high speed, this leads
to higher consumption. You will therefore have
to recharge the battery sooner. You can conserve
energy by keeping the load on the pedals even
throughout the entire crank revolution.
Ambient temperature
If it is colder, you will travel a shorter distance
with the same battery charge. To maximise the dis-
tance you can travel, keep the battery in a heated
room so that it is at room temperature when you t
it on your Pedelec.
As the battery discharges when the motor is in use,
it generates enough heat to not lose too much of
its power at low ambient temperatures. The bat-
tery cells can discharge at temperatures of -15 to
+60°C.
8 The motor
8.1 Operation
If you switch on the assistance and start pedalling, the
motor starts as soon as the rear wheel is turning.
The thrust delivered by the motor depends on three
factors:
Your own pedalling eort.
The motor adapts to the force you apply. If you
pedal harder, e.g. uphill or when setting o, the
power sensor detects this and delivers more power
than if you were only pedalling gently. The assis-
tance increases proportionally if you pedal harder.
The higher the assist level you have set, the more
distinct this assistance characteristic becomes.
The level of assistance you have selected.
In the highest assist level (POWER), the motor
assists you with the highest output and therefore
also uses the most energy. With the SPORT
assist level, the motor produces slightly less
power. If you have selected ECO, you receive the
least amount of assistance but have the battery’s
maximum range at your disposal.
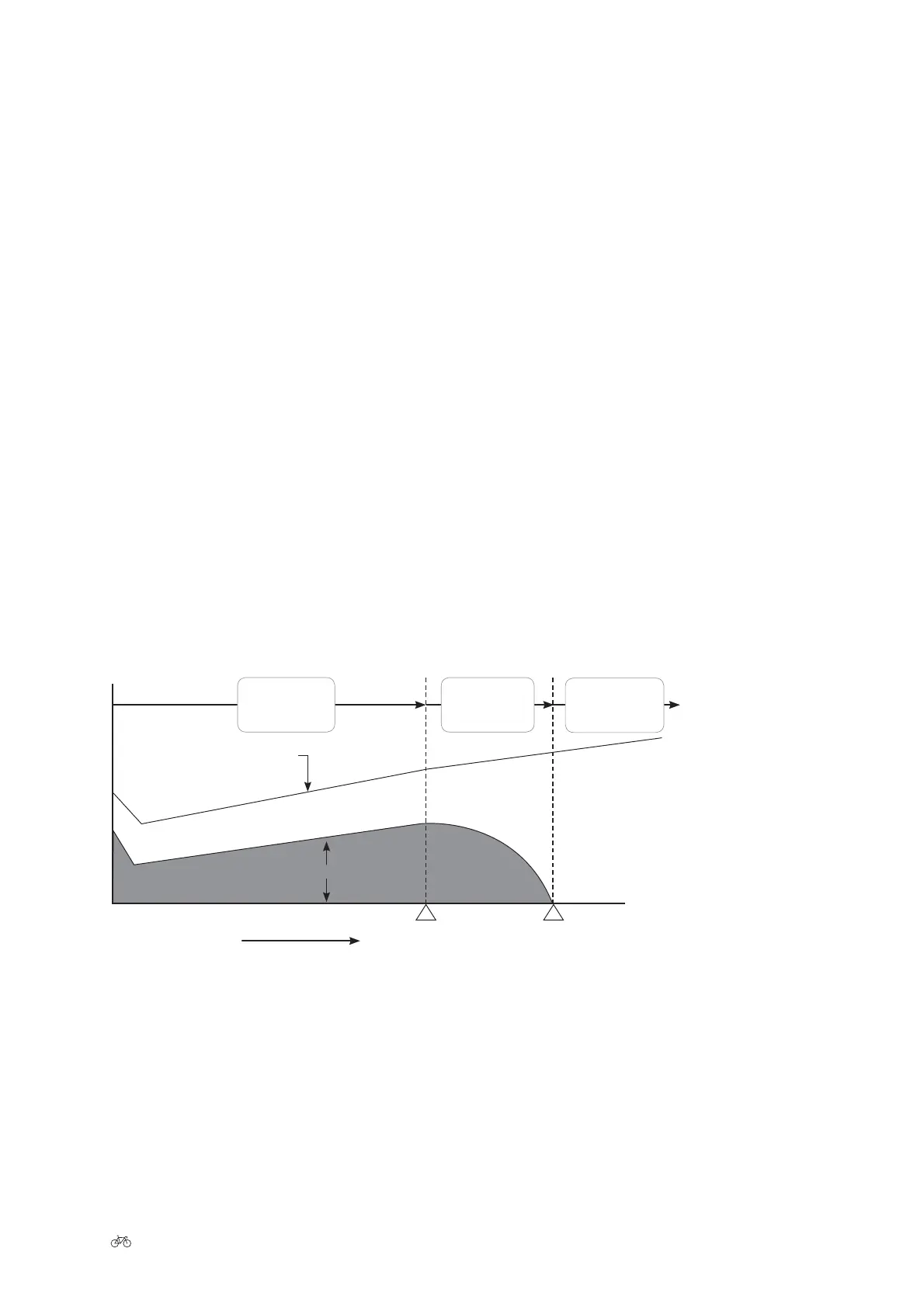
Propulsive power
Speed
Pedal force
Max. assistance Switch-o speed
Propulsive power (pedal force
+ electrical assistance)
Electrical assistance
Impulse
Increasing
pedal power and
assistance
Reducing
assistance
Assistance
switched o
Relationship between pedal force and electrical assistance
How fast you ride.
When you set o on your Pedelec, the assistance
increases as you build up speed until it reaches its
maximum, just before the highest assisted speed
is achieved. Then it reduces automatically and
switches o at roughly 25km/h, irrespective of the
gear you are in. Depending on the power-assist
mode you are riding in, the transition between rid-