EasyManua.ls Logo

Philips DVP3140 - Media File Playback

Philips DVP3140
55 pages
Print Icon
To Next Page IconTo Next Page
To Next Page IconTo Next Page
To Previous Page IconTo Previous Page
To Previous Page IconTo Previous Page
Loading...
4-18
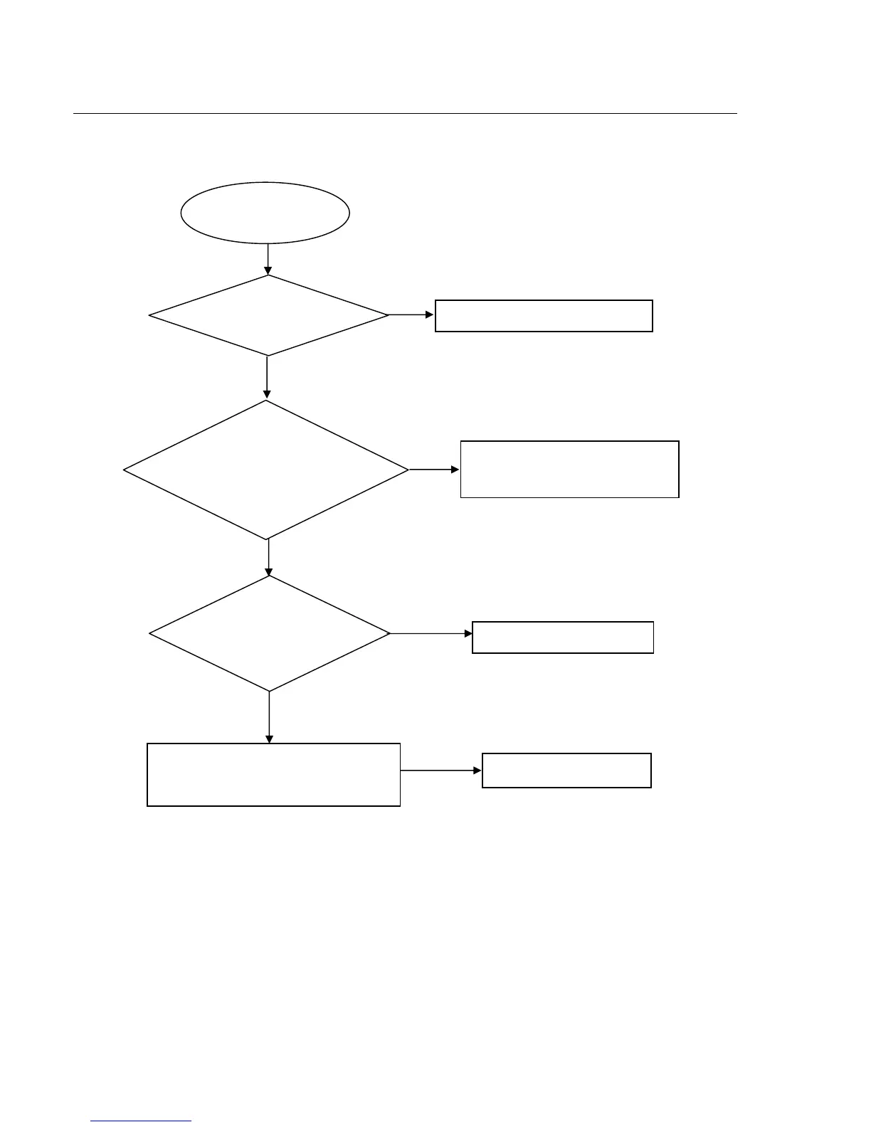
Abnormal color of video picture
Yes
Abnormal color of
video
p
icture
Check whether the 3.3V
and 1.8V power supply
voltages on the decoder
board are normal.
Check Y1, R13, C38 and C39
Check other of power supply electric
circuit
Correct the connection
Check whether the
video filter network
circuit is normal.
Yes
Yes
No
No
No
Check whether the
27MHz out
p
ut si
g
nal
change U1
Yes
No
Trouble shooting chart
Check if the video signals on Pin
147,149,151,152,154 of U1 are normal
Remark: Trouble shooting chart fo
r
DVP3142
(
K/KM
)
/XX
DVP3144(K)/XX