EasyManua.ls Logo

Philips DVP3140 - Playback Selection and Image Zoom

Philips DVP3140
55 pages
Print Icon
To Next Page IconTo Next Page
To Next Page IconTo Next Page
To Previous Page IconTo Previous Page
To Previous Page IconTo Previous Page
Loading...
4-19
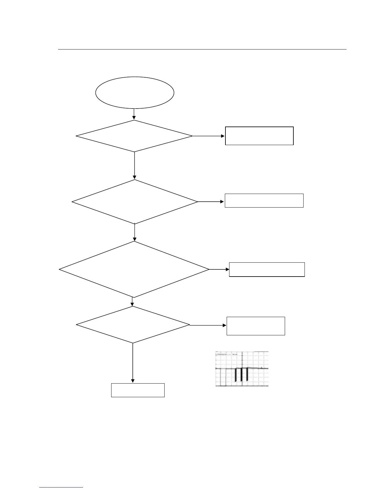
Remote reception is insensitive or fails.
No
Remote reception is
insensitive or fails.
Check if the remote
control works
p
ro
p
erl
y
.
Check battery
Check R315ǃC315
Use an oscilloscope to check if there is
output waveform from the first pin IR o
f
the remote censor after pressing
button on the remote control.
REM301(PIN1 - RC waveform)
Check if there is IR
signal on pin 134 of U1
Check if the power supply
voltage to the remote censor
is normal
Go
No
No
No
Yes
Yes
Yes
Correct connection
Yes
Change U1
IR waveform
Trouble shooting chart
Remark: Trouble shooting chart fo
r
DVP3142
(
K/KM)/XX
DVP3144(K)/XX