EasyManua.ls Logo

Philips DVP3880KX - Disc Read Errors

Philips DVP3880KX
44 pages
Print Icon
To Next Page IconTo Next Page
To Next Page IconTo Next Page
To Previous Page IconTo Previous Page
To Previous Page IconTo Previous Page
Loading...
4-4
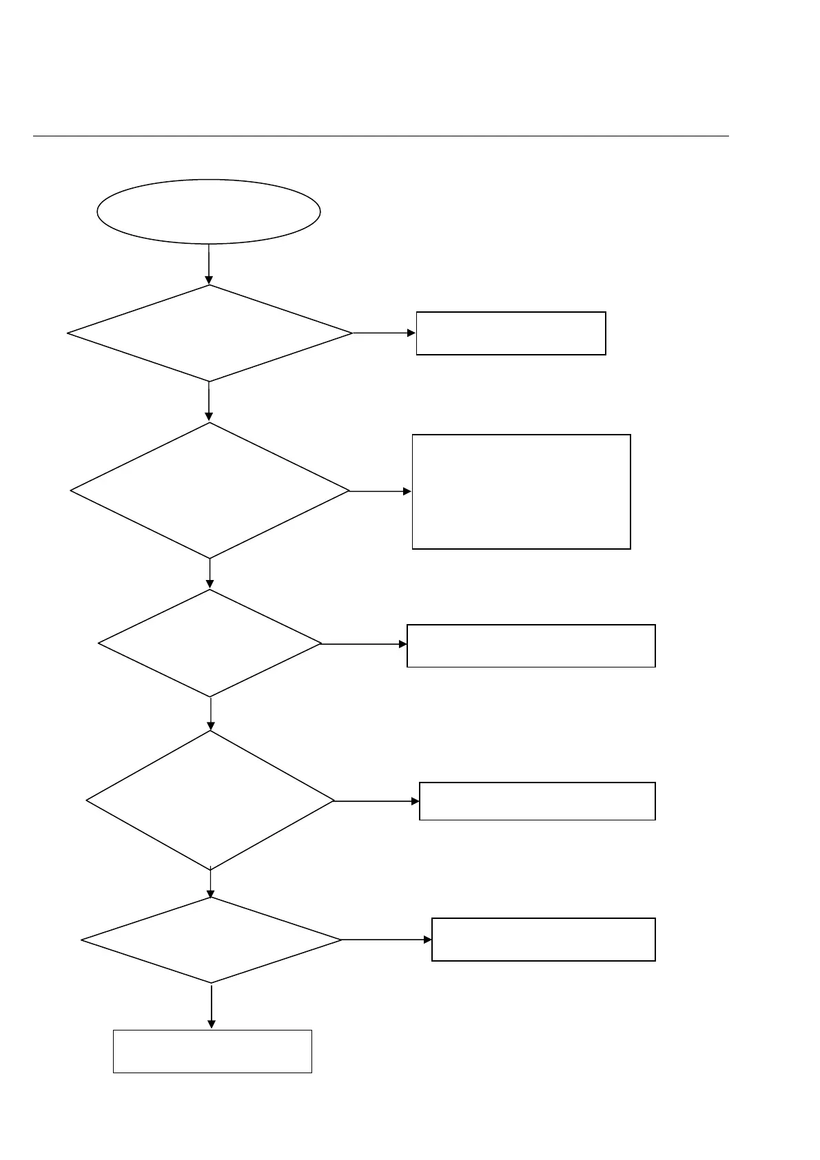
Disc cannot be read
.
No
Yes
No
Yes
No
Yes
Yes
No
No
Yes
Disc cannot be read.
Check the loaded circuit
1.Check voltage on pin 15 of U20 varies
between 0 and 3.3V:
Æ3.3V for CD
Æ0V for DVD
2.Check whether peripheral components
are eroded or defect
Check the FFC connection
between 24P and the loader.
Check U20 and peripheral components
Re-solder or replace the defective parts
Check the connection
between U20
Correct connection
Replace U20 or loader.
Yes
Check whether there is laser
voltage (1.9V for CD and 2.4V for
DVD) on L9 and L10.
Check if there is RFO signal on
pin17 of XP2. (The normal RFO
signal is a clear reticulated wave)
Trouble shooting chart
Check U20, U2, and
peripheral components are
eroded or badly soldered.

Related product manuals