EasyManua.ls Logo

Philips DVP3880KX - Power Board Output Voltage Deviations

Philips DVP3880KX
44 pages
Print Icon
To Next Page IconTo Next Page
To Next Page IconTo Next Page
To Previous Page IconTo Previous Page
To Previous Page IconTo Previous Page
Loading...
4-3
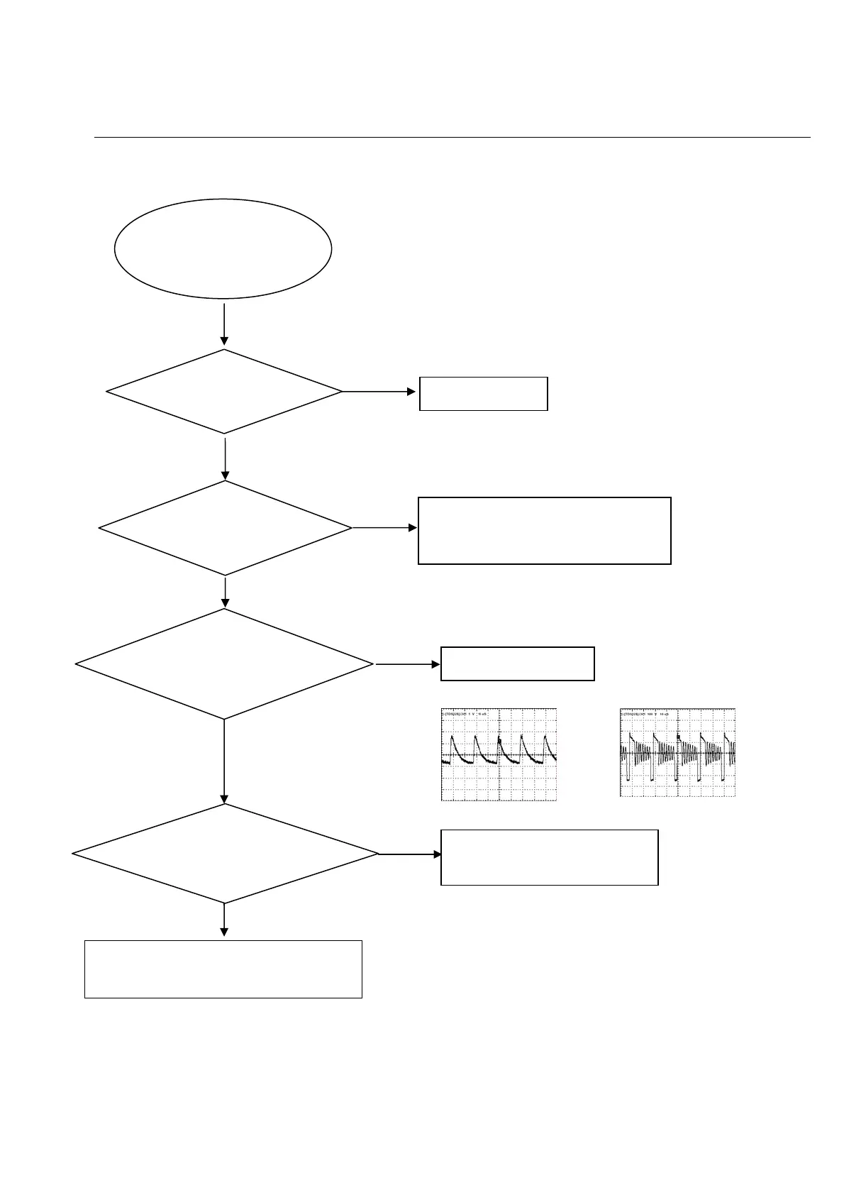
All output voltages on the power board is 0V or deviated.
No
No
No
Yes
No
U1(PIN 8 - Drain waveform)
Replace F1
Replace C1&C2 if D1, D2, D3, D4 are
normal.
Check/ replace U20.
Check whether U20 are eroded.
All output voltages on
the power board is 0V or
deviated
Check whether there is
300V on C1 or C2.
Check whether 100KHz
oscillating signal on
Pin6 of U20
Check if +5V and +12V are
short.
Check whether the components in the
short-circuit voltage are defected or eroded.
Yes
Yes
Yes
Yes
U1(PIN 3 - RC waveform)
Trouble shooting chart
Check whether
F1 is blown

Related product manuals