EasyManua.ls Logo

Philips DVP3880KX - Power On;Off Issues

Philips DVP3880KX
44 pages
Print Icon
To Next Page IconTo Next Page
To Next Page IconTo Next Page
To Previous Page IconTo Previous Page
To Previous Page IconTo Previous Page
Loading...
4-2
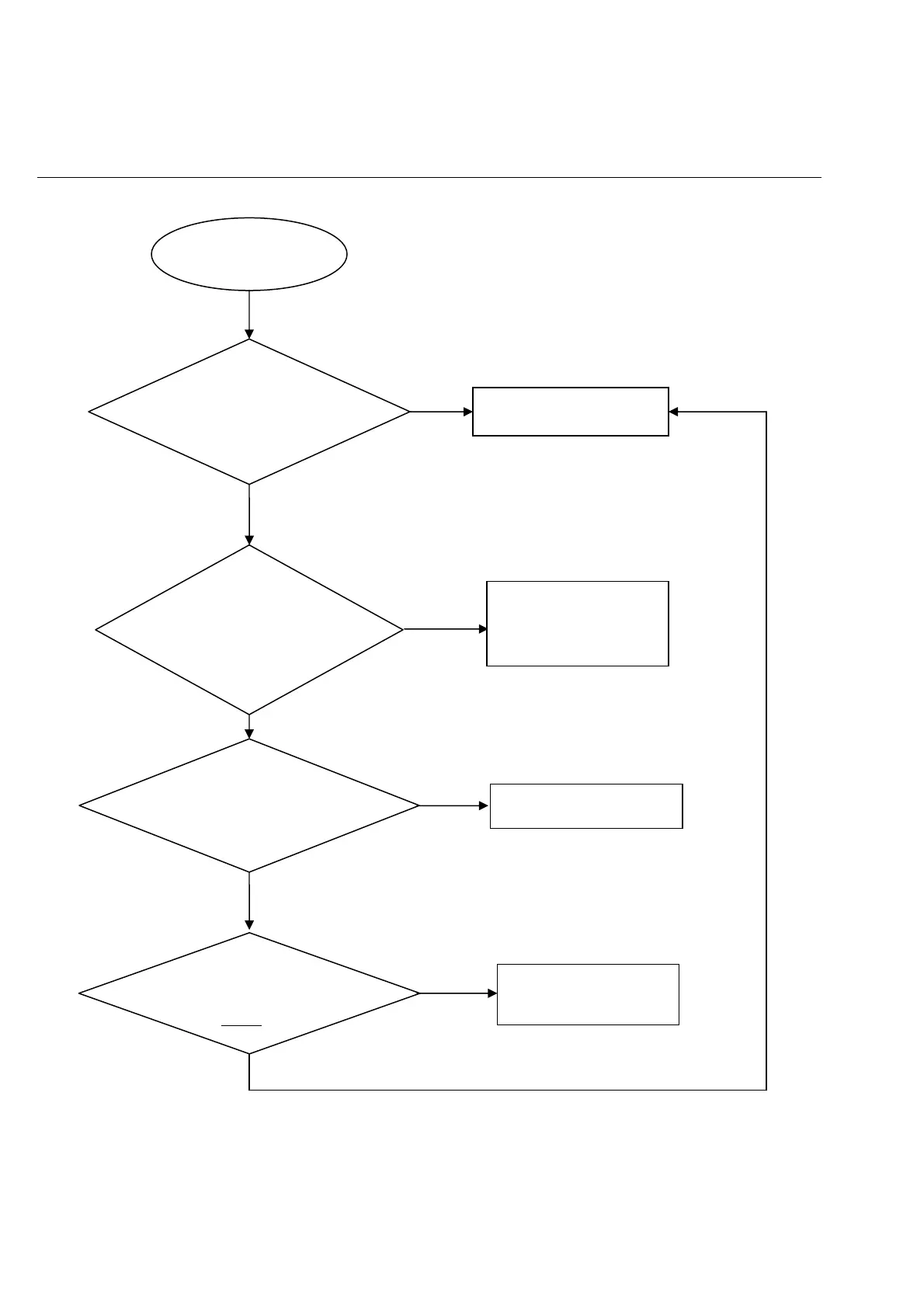
The power can not be on or off
Go
Yes
Yes
No
No
The power can’t be
on or off
Yes
Repair the power board
Check the power supply
on the power board is
normal.
Check/Correct
connection
Whether the connection
to K303 is broken.
Correct the connection
Replace U20.
No
No
Yes
Yes
Check if the XS301 on the
front board to XP5 on the
decoder board is in good
contact.
Whether there is 0V and
3.3V voltage difference on
Pin 39 PCON
of U20.
Trouble shooting chart

Related product manuals