EasyManua.ls Logo

Philips DVP3880KX - Video Picture Color Anomalies

Philips DVP3880KX
44 pages
Print Icon
To Next Page IconTo Next Page
To Next Page IconTo Next Page
To Previous Page IconTo Previous Page
To Previous Page IconTo Previous Page
Loading...
4-8
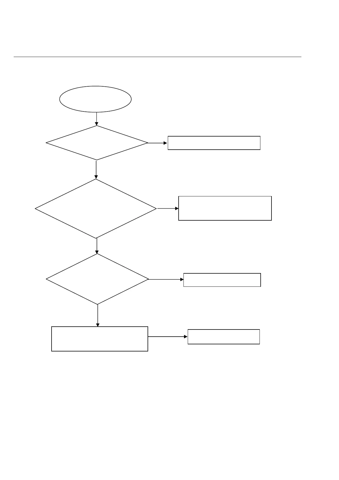
Abnormal color of video picture
Yes
Abnormal color of
video
p
icture
Check whether the 3.3V
and 1.8V power supply
voltages on the decoder
board are normal.
Check Y2, R20,R27,C22 and C23
Check other of power supply electric
circuit
Correct the connection
Check whether the
video filter network
circuit is normal.
Yes
Yes
No
No
No
Check whether the
27MHz out
p
ut si
g
nal
Trouble shooting chart
change U20
Yes
No
Check if the video signals on Pin
98,100,101,102, of U1 are normal

Related product manuals