EasyManua.ls Logo

Philips DVP3880KX - Remote Control Reception Issues

Philips DVP3880KX
44 pages
Print Icon
To Next Page IconTo Next Page
To Next Page IconTo Next Page
To Previous Page IconTo Previous Page
To Previous Page IconTo Previous Page
Loading...
4-9
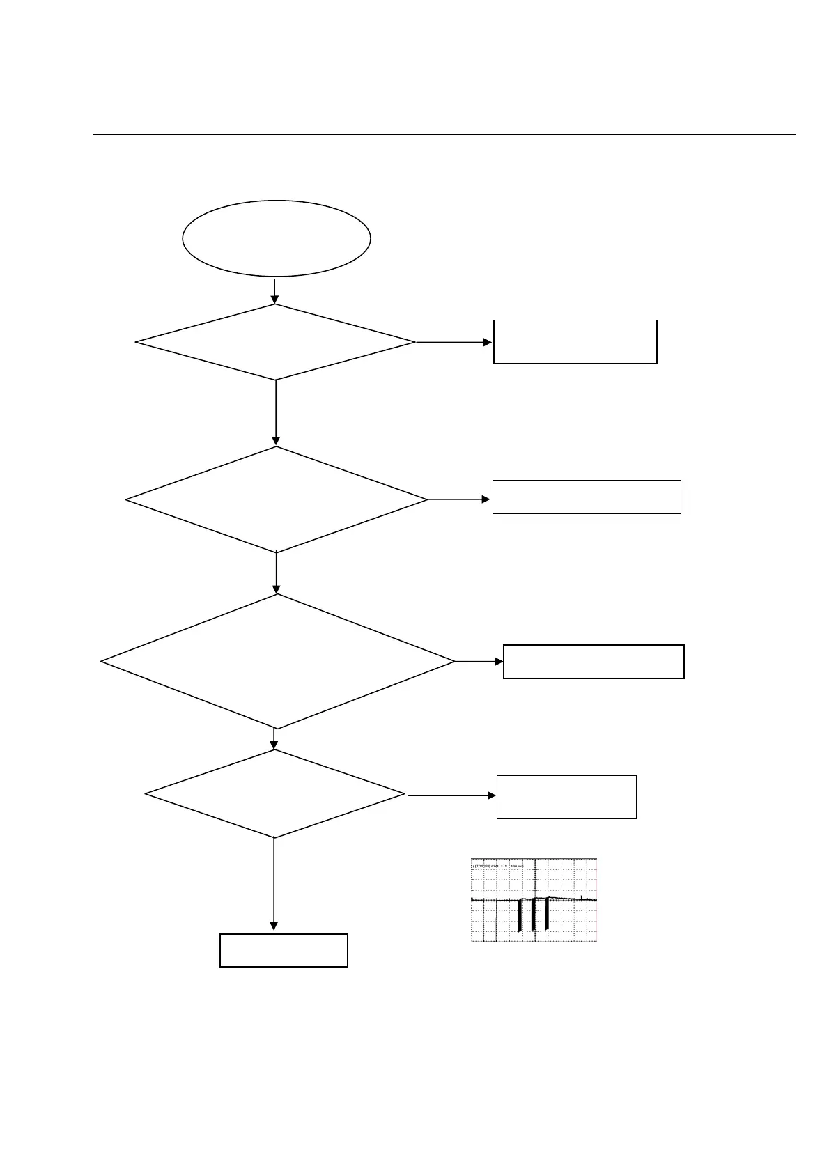
Remote reception is insensitive or fails.
No
Remote reception is
insensitive or fails.
Check if the remote
control works
p
ro
p
erl
y
.
Check battery
Check R315C315
Use an oscilloscope to check if there is
output waveform from the first pin IR of the
remote censor after pressing button on the
remote control.
REM301(PIN1 - RC waveform)
Check if there is IR
signal on pin 33 of U20
Check if the power supply
voltage to the remote censor
is normal
Go
No
No
No
Yes
Yes
Yes
Correct connection
Yes
Change U20
IR waveform
Trouble shooting chart

Related product manuals