EasyManua.ls Logo

Philips DVP520/05 - Power Board Voltage Deviations

Philips DVP520/05
51 pages
Print Icon
To Next Page IconTo Next Page
To Next Page IconTo Next Page
To Previous Page IconTo Previous Page
To Previous Page IconTo Previous Page
Loading...
4-3
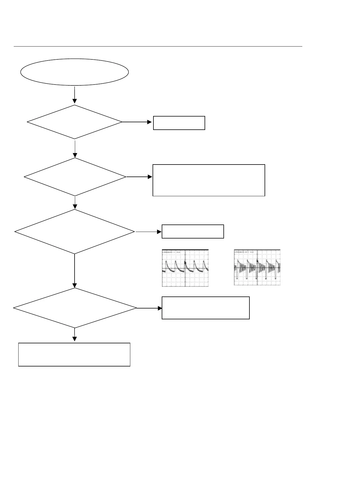
All output voltages on the power board is 0V or deviated.
No
No
No
Yes
No
U201(PIN 8 - Drain waveform)
Replace F201
1.Check D201, D202, D203, D204.
2.Replace C203 if D201, D202, D203, D204
are normal.
Check/ replace U201.
Check whether U202 and U203
are eroded.
Check whether there is
300V on C203.
Check whether 100KHz
oscillating signal on
Pin3 of U201
Check if +5V, +3.3v, +12V,
-12V and -24V are short.
Check whether the components in the
short-circuit voltage are defected or eroded.
Yes
Yes
Yes
Yes
U201(PIN 3 - RC
waveform)
Trouble shooting chart
Check whether
F201 is blown
ll output voltages on the
ower board is 0V or deviated.

Related product manuals