EasyManua.ls Logo

Philips DVP520/05 - Abnormal Video Picture Color

Philips DVP520/05
51 pages
Print Icon
To Next Page IconTo Next Page
To Next Page IconTo Next Page
To Previous Page IconTo Previous Page
To Previous Page IconTo Previous Page
Loading...
4-8
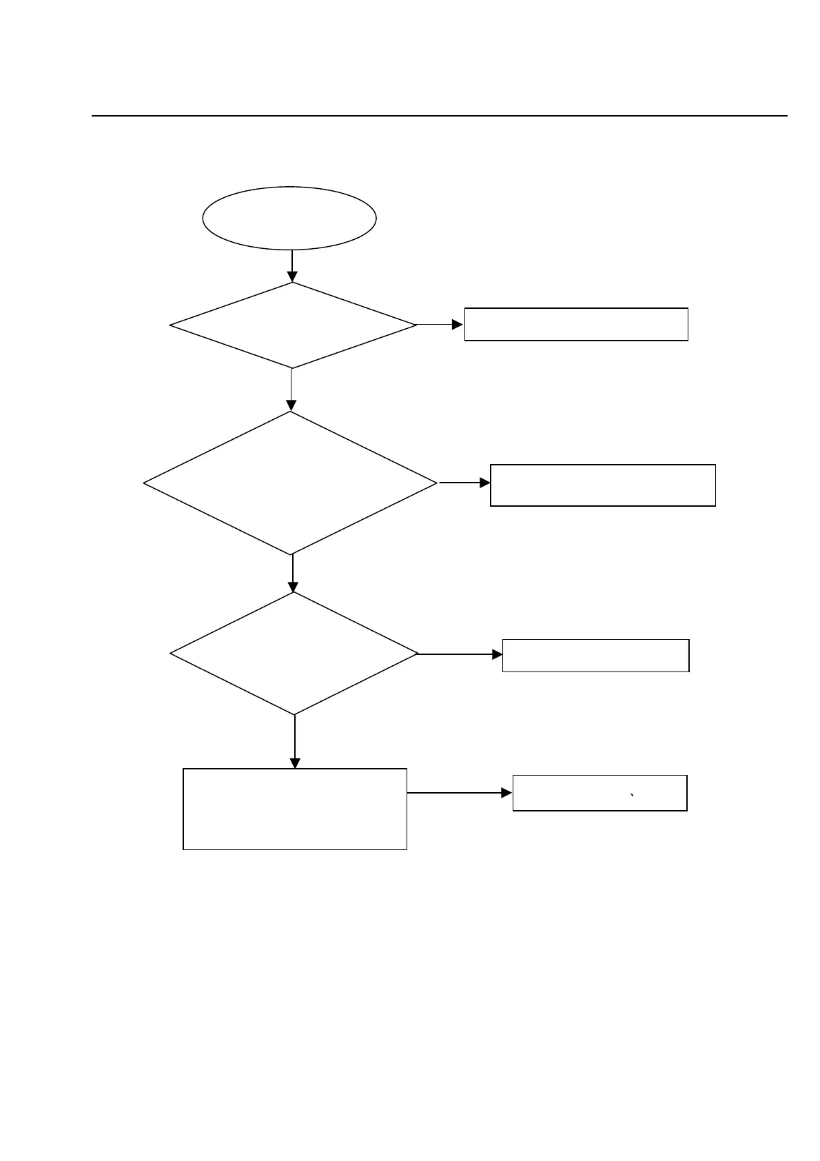
Abnormal color of video picture
Yes
Abnormal color of
video
p
icture
Check whether the 3.3V
and 2.5V power supply
voltages on the decode
r
board are normal.
Check Y1,R50,R51,C80 and C81
Check relative power supply circuit
Fix connection
Check whether the
video filter network
circuit is normal.
Check whether the signals are
normal from pin164 to Pin173 of U3
one by one
Replace U3 or U14 U15
Yes
Yes
Yes
No
No
No
No
Check whether the
27MHz out
p
ut si
g
nal is
Trouble shooting chart

Related product manuals