EasyManua.ls Logo

Philips DVP520 - Page 18

Philips DVP520
51 pages
Print Icon
To Next Page IconTo Next Page
To Next Page IconTo Next Page
To Previous Page IconTo Previous Page
To Previous Page IconTo Previous Page
Loading...
4-9
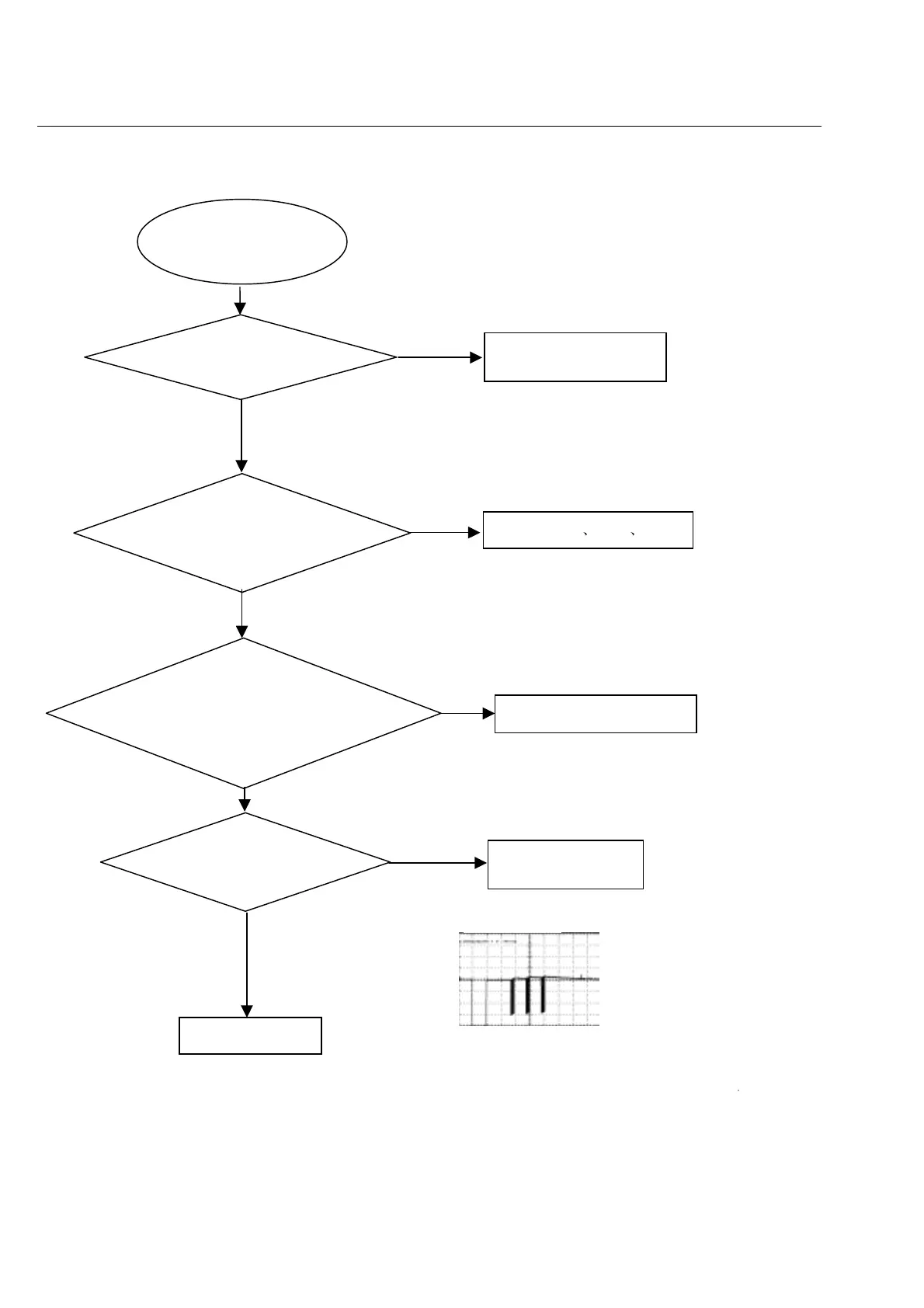
Remote reception is insensitive or fails.
No
Remote reception is
insensitive or fails.
Check whether the remote
control works properly.
Check battery
Check R317 C303 C304
Use an oscilloscope to check whethe
r
there is output waveform from the first pin IR
of the remote censor after pressing button
on the remote control.
U201(PIN 3 - RC
waveform)
Check whether there is I
R
signal on pin 71 of U3
Check whether the powe
r
supply voltage to the remote
censor is normal.
Go
No
No
No
Yes
Yes
Yes
Fix connection
Yes
Replace U3
IR waveform
Trouble shooting chart

Related product manuals