EasyManua.ls Logo

Phocos CXup 10 - Page 31

Phocos CXup 10
Print Icon
To Next Page IconTo Next Page
To Next Page IconTo Next Page
To Previous Page IconTo Previous Page
To Previous Page IconTo Previous Page
Loading...
The Cxup controller has a 2 years data logger. Push "ESC" (X) button when the LCD is scrolling
the current values and the controller will enter the menu. Select "LOG" with the arrow keys and
press "SET" ( ) to enter the data logger menu. You can get the charge Ah, load Ah and SOC in
the morning, as daily data for a month, monthly data for two years and total data.
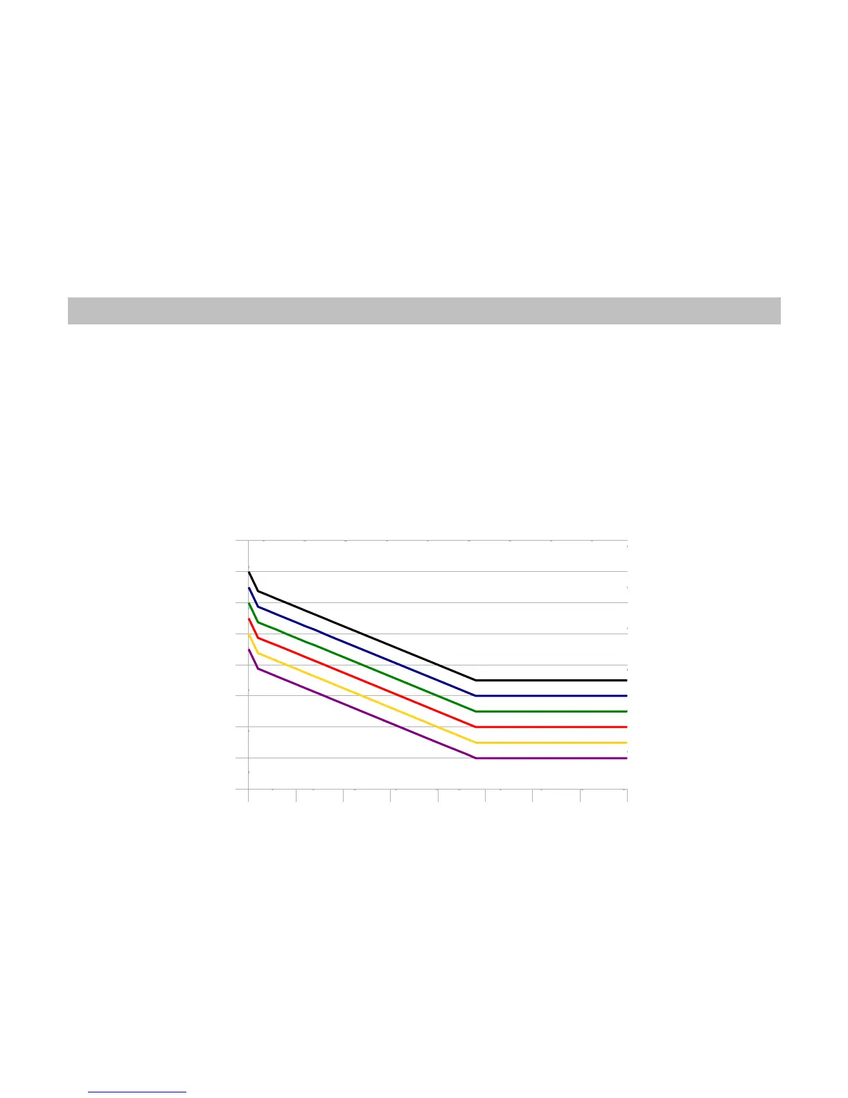
Low Voltage Disconnect Function
The controller has 2 different modes to protect the battery from being deep discharged:
Mode 1 LVD Current Adapted (SOC): Load disconnect level at no discharge current can be set
between 11.5/23.0 V and 12.0/24.0 V. The disconnect voltage depends on the voltage, discharge
current and battery capacity. At nominal discharge current (0.1 C/h) : 11.15/22.3 V to 11.65/
23.3 V.
Battery capacity : 10Ah-5000Ah
Mode 1 LVD Current Adapted (SOC) is the standard setting.
29
0 0.05 0.1 0.15 0.2 0.25 0.3 0.35 0.4
10600
10800
11000
11200
11400
11600
11800
12000
12200
Discharge Current / Battery Capacity
LVD threshold / mV
Setpoint: 12.0V
Setpoint: 11.9V
Setpoint: 11.8V
Setpoint: 11.7V
Setpoint: 11.6V
Setpoint: 11.5V