EasyManua.ls Logo

Premium PAC12039 - Heating Function

Premium PAC12039
45 pages
Print Icon
To Next Page IconTo Next Page
To Next Page IconTo Next Page
To Previous Page IconTo Previous Page
To Previous Page IconTo Previous Page
Loading...
10
4.2. Indoor fan functions according to set air input. Without high power wind.
4.3. Vertical air blade operates according to operating requirement of remote control.
4.4. Without sleep function. have gotten timing function.
5. Heating Function
5.1. In heating mode.temperature range is set between 16
and 32
.
5.2.While in heating function. the compressor cannot be closed within the first 3
minutes.Compressor can only be closed by changing function mode or turning off the
machine.
5.3.Have got function of co
mpensating temperature for 3. 3 Below measured temperature
at air inlet is considered the compared value to set temperature. (The others modes doesn't
have this function)
5.4.According to the setting temperature. The condition of compressor working is indoor
temperature-3set temperature-1.stoping condition is indoor temperatureset
temperature1 . When room temperature =set temperature.keeping the original state.
5.5.Blow rest heat energy function: the indoor fan motor will run in the mute model on the
condition of indoor coil temperature > 30.the indoor fan motor will turn off when the indoor
coil temperature fall to below 30.and residual heating function will last less than 40s.And the
four-way valve change in 2min.
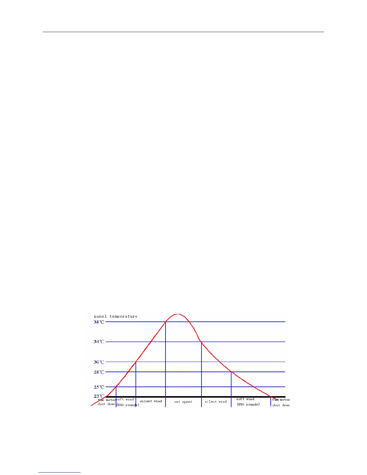
5.6.Indoor fan motor control
5.6.1.Heating defend cold wind and blow rest heat energy function
The wind speed of indoor fan motor can be controlled by T inter- panel. as the following :
Compressor working to prevent cold wind.
1) When the T e(evaporator) presents rising state. When T e 25
, indoor fan motor will turn
off. When 25
T e30
, the indoor fan motor will blow feeble wind model. When 30
T e
38, the indoor fan motor will be in mute wind model. When T
e38
the indoor fan motor
will blow setting wind speed.
2) When the
T e presents falling state. When T e34
, the indoor fan motor will b
low setting
wind speed; when 28
T e34
, the indoor fan motor will be in mute wind model. When
23T e28, the inter- fan motor will be in the feeble wind mode
l. When the T e23
, the
inter- fan will automatically turn off.
Picture1
Prevent cold wind function when c
ompressor out of working
1) When T e presents falling state. When T e25
, the indoor fan motor will be in feeble wind

Related product manuals