EasyManua.ls Logo

Psion Teklogix 7527C-G2 - SE1524 Scanner Decode Zone

Psion Teklogix 7527C-G2
446 pages
Print Icon
To Next Page IconTo Next Page
To Next Page IconTo Next Page
To Previous Page IconTo Previous Page
To Previous Page IconTo Previous Page
Loading...
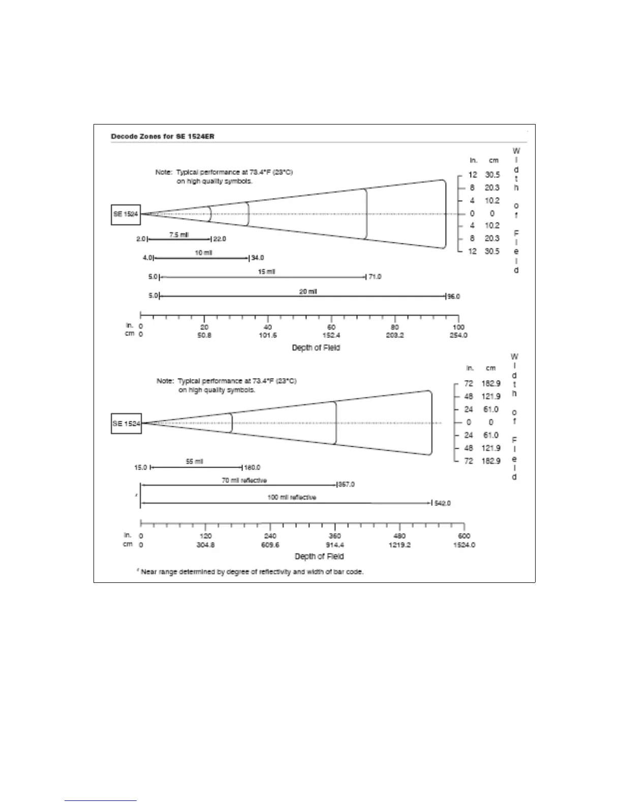
Chapter 8: Specifications
![&HN@[B#!P044()#!M(P+,+P0*+847
WORKABOUT PRO
3
with Windows Mobile 6.1 User Manual ?&?
RAIAJAB LZBIJ\)LC-..19)X1C4/1)o4.1

Table of Contents

Related product manuals