EasyManua.ls Logo

Psion Teklogix WORKABOUT PRO3 7527C-G2 - SE1524 Scanner Decode Zone

Default Icon
446 pages
Print Icon
To Next Page IconTo Next Page
To Next Page IconTo Next Page
To Previous Page IconTo Previous Page
To Previous Page IconTo Previous Page
Loading...
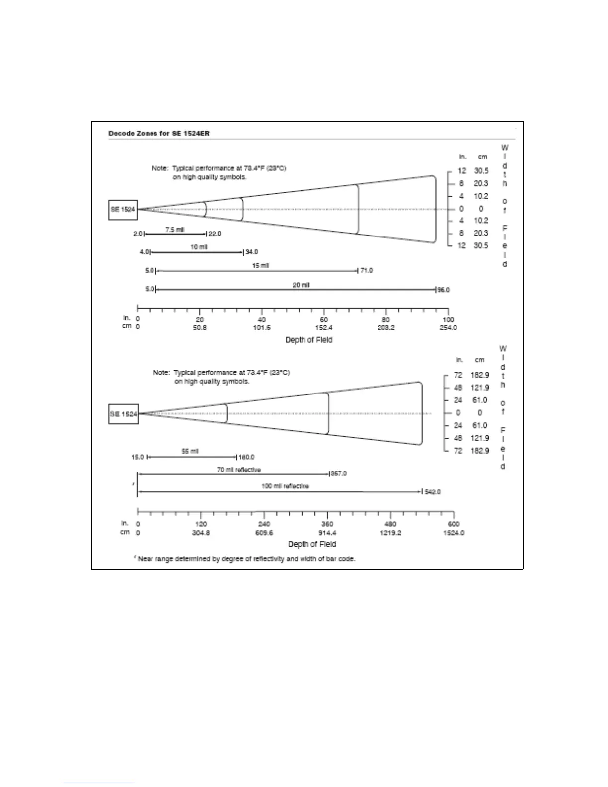
Chapter 8: Specifications
![&HN@[B#!P044()#!M(P+,+P0*+847
WORKABOUT PRO
3
with Windows Mobile 6.1 User Manual ?&?
RAIAJAB LZBIJ\)LC-..19)X1C4/1)o4.1

Table of Contents

Related product manuals