EasyManua.ls Logo

Rapid 105E - Page 35

Rapid 105E
54 pages
Print Icon
To Next Page IconTo Next Page
To Next Page IconTo Next Page
To Previous Page IconTo Previous Page
To Previous Page IconTo Previous Page
Loading...
1. apparaten är ansluten till elnätet och att huvud-
strömbrytaren är tillslagen (lampan lyser).
2. visiret är nerfällt.
3. rätt utlösaranordning används. Den automatis-
ka utlösningsanordningen urkopplas då peda-
lutlösare eller optisk kabel är inkopplad.
4. utlösararmarna (9) efter påverkan lätt återgår
framåt till ett distinkt stoppläge före ny häft-
ning.
5. rätt slagstyrka är inställd.
Kvarstår driftsstörning, lämna apparaten till leve-
rantören eller auktoriserad verkstad för service.
Använd ej apparat med defekt anslutningskabel
eller stickpropp.
BYTE AV INSATSHÄFTARE - RAPID 105
1. Tag bort låsplåten (13) med dess skruv (5).
2. Byt insatshäftaren. Vid montering av den nya
insatshäftaren måste stötstången (28) tryckas
upp.
3. Skruva fast låsplåten (13).
BYTE AV INSATSHÄFTARE - RAPID 106
1. Tag bort stjärnratten (15) och dess skruv samt
lyft av bordet (16).
2. Lossa de två skruvarna (26) och drag insats-
häftaren utåt. Tryck upp stötstången (28) och ta
ut insatshäftaren.
3. Montera den nya insatshäftaren genom att
först föra in lagringsbygeln (19) i utfällt läge
över städet (8).
4. Tryck upp stötstången (28) och fäll lagringsby-
geln (19) så att dess smala flik pekar in i appa-
raten.
5. Skjut in insatshäftaren medan stötstångenhålls
upptryckt. Observera: se till att lagrings-
bygelns flik förs in i sitt styrhål.
6. Före häftning är det nödvändigt att justera
insatshäftarens läge i förhållande till städet.
Justeringen görs med hjälp av styrplåten (27)
som medföljer apparaten. Drag ut magasinet
och för upp styrplåten underifrån i klammerut-
loppet. Skjut in magasinet. Tryck ner insatshäf-
taren hårt så att styrplåten passar i städet. Håll
insatshäftaren nertryckt och drag åt skruvarna
(26). Tag bort styrplåten och provhäfta.
7. Montera bordet. OBS, bordets stag, skruv och
stjärnratt (15) skall placeras framför rörstativet.
34
S
13
12
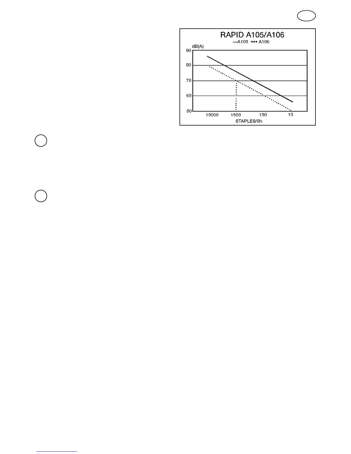
Ekvivalent ljudnivå dB(A) vid maximal kapacitet
och slagstyrka.
Ex. 1440 klammer på 8 timmar ger 70 dB(A)
(A106).
Ljudmätningar utförda enligt ISO 7779 med sup-
plementförslag Electrical staplers: Noise test
code.
Gränsvärdet 70dB(A) ekvivalent ljudnivå är ett
krav i Tyskland för maximal ljudnivå i allmäna
lokaler typ affärer, flygplatsincheckning, receptio-
ner och liknande.
EDNord - Istedgade 37A - 9000 Aalborg - telefon 96333500

Related product manuals