EasyManua.ls Logo

Rapid 105E - Page 43

Rapid 105E
54 pages
Print Icon
To Next Page IconTo Next Page
To Next Page IconTo Next Page
To Previous Page IconTo Previous Page
To Previous Page IconTo Previous Page
Loading...
2. Vaihda nitomayksikkö, jos se on vaurioitunut tai
kulunut.
B. Käyttöjärjestelmä. Tarkasta, että:
1. laite on liitetty sähköverkkoon ja virta on kyt-
ketty (virtakytkimen merkkivalo palaa).
2. suojus (3) on alhaalla.
3. oikea laukaisulaite on käytössä.
Automaattilaukaisu kytkeytyy pois, kun konee-
seen liitetään laukaisupoljin tai valokaapeli.
4. laukaisuvarret (9) palaavat herkästi eteenpäin
ääriasentoonsa.
5. iskuvoima on säädetty oikein.
Jos laite ei vieläkään toimi, toimita se maahantuo-
jalle tai valtuutettuun huoltoon.
Älä käytä laitetta, jonka verkkojohdin tai pistotulp-
pa on vaurioitunut.
NITOMAYKSIKÖN VAIHTO -
RAPID 105
1. Irrota ruuvi (5) ja lukkolevy (13).
2. Vaihda nitomayksikkö. Työntötankoa on työn-
nettävä ylöspäin, kun uusi yksikkö asennetaan.
3. Kiinnitä lukkolevy (13).
NITOMAYKSIKÖN VAIHTO -
RAPID 106
1. Irrota lukitusruuvi (15) ja nosta pöytä (16) pois
paikaltaan.
2. Irroita ruuvit (26) kummaltakin puolelta ja vedä
nitomayksikköä (4) ulospäin. Nosta työntötan-
koa (28) ja ota nitomayksikkö pois
3. Asenna uusi nitomayksikkö viemällä ensin tuki-
sanka (19) auki -asennossa alasimen (8) yli.
4. Nosta työntötankoa (28) ja aseta tukisanka (19)
niin, että sen kapea kärki osoittaa koneeseen
päin.
5. Työnnä nitomayksikkö sisään työntötangon
ollessa ylhäällä. Huomaa: katso, että tukisang-
an (19) kärki menee paikalleen.
6. Säädä nitomayksikön asento alasimen suhteen
ennen nitomista. Säätämiseen käytetään lait-
teen mukana toimitettavaa säätölevyä. Vedä
lipas ulos ja työnnä säätölevy alakautta sinkilä-
aukkoon. Työnnä lipas paikalleen. Paina nitom-
ayksikköä niin voimakkaasti, että säätölevy
sopii alasimeen. Paina nitomayksikköä ja kiris-
tä ruuvit (26). Poista säätölevy ja kokeile toi-
mintaa.
7. Asenna pöytä paikalleen. HUOM! Pöydän tuki,
ruuvi ja lukitusruuvi (15) tulee sijoittaa putkir-
ungon eteen.
42
FIN
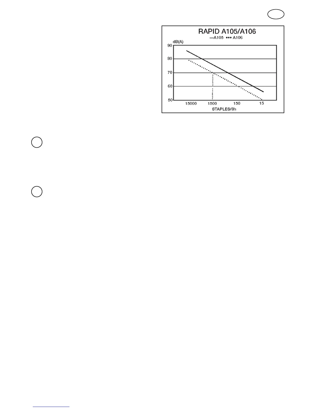
Ekvivavlentti äänentaso dB(A) suurimmalla ja
lyöntivoimalla.
Eksim. 1440 sinkilää 8 tunnissa saa aikaan 70
dB(A) (A106).
Äänen mittaukset ISO 7779:n sekä täydennyseh-
dotuksen sähkönitojat: Äänitestikoodi mukkan.
Raja-arvo 70 dB(A) ekvivalennti äänentaso on
Saksassa korkein sallittu äänentaso yleisissä tio-
loissa, kuten myymälöissa, lentokenttien ilmoit-
tautumistiloissa, vastaanotoissa ja muissa vas-
taavissa tiloissa.
13
12
EDNord - Istedgade 37A - 9000 Aalborg - telefon 96333500

Related product manuals