EasyManua.ls Logo

Rapid 105E - Page 48

Rapid 105E
54 pages
Print Icon
To Next Page IconTo Next Page
To Next Page IconTo Next Page
To Previous Page IconTo Previous Page
To Previous Page IconTo Previous Page
Loading...
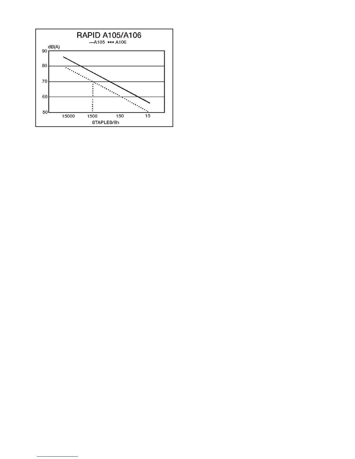
πÛÔ‰‡Ó·ÌÔ ÂÂ‰Ô ‹¯Ô˘ dB() Û ̤ÁÈÛÙË
·‰ÔÛË Î·È ÎÚÔ˘ÛÙÈ΋ ‰‡Ó·ÌË.
¶¯. 1440 Û˘Ó‰ÂÙ‹Ú˜ Û 8 ÒÚ˜ ·Ú¿ÁÔ˘Ó
70dB() (∞106).
È ÌÂÙÚ‹ÛÂȘ ‹¯ˆÓ ¤ÁÈÓ·Ó Û‡Ìʈӷ Ì ÙËÓ ISO
7779 Î·È ÙË Û˘ÌÏËڈ̷ÙÈ΋ ÚÙ·ÛË ÁÈ·
ÏÂÎÙÚÈΤ˜ Û˘ÚÚ·ÙÈΤ˜: Ò‰ÈΘ ÂϤÁ¯Ô˘
ıÔÚ‡‚ˆÓ”
Ô ÚÈÔ 70dB() ÈÛÔ‰‡Ó·ÌÔ˘ ÂȤ‰Ô˘ ‹¯ˆÓ
·ÔÙÂÏ› ··›ÙËÛË ÛÙË °ÂÚÌ·Ó›· Î·È Â›Ó·È ÙÔ
·ÓÒÙ·ÙÔ ÂÂ‰Ô ÁÈ· ¯Ú‹ÛË ÙÔ˘ Ì˯·Ó‹Ì·ÙÔ˜ ÛÂ
‰ËÌÛÈÔ˘˜ ¯ÒÚÔ˘˜, ¯. ηٷÛÙ‹Ì·Ù·,
Â͢ËÚ¤ÙËÛË Û ·ÂÚÔ‰ÚÌÈ·, ÚÂÛ„ÈÓ Î·È Ù·
·ÚÌÔÈ·.
EDNord - Istedgade 37A - 9000 Aalborg - telefon 96333500

Related product manuals