EasyManua.ls Logo

Rapid 90E - Page 11

Rapid 90E
28 pages
Print Icon
To Next Page IconTo Next Page
To Next Page IconTo Next Page
To Previous Page IconTo Previous Page
To Previous Page IconTo Previous Page
Loading...
9
F
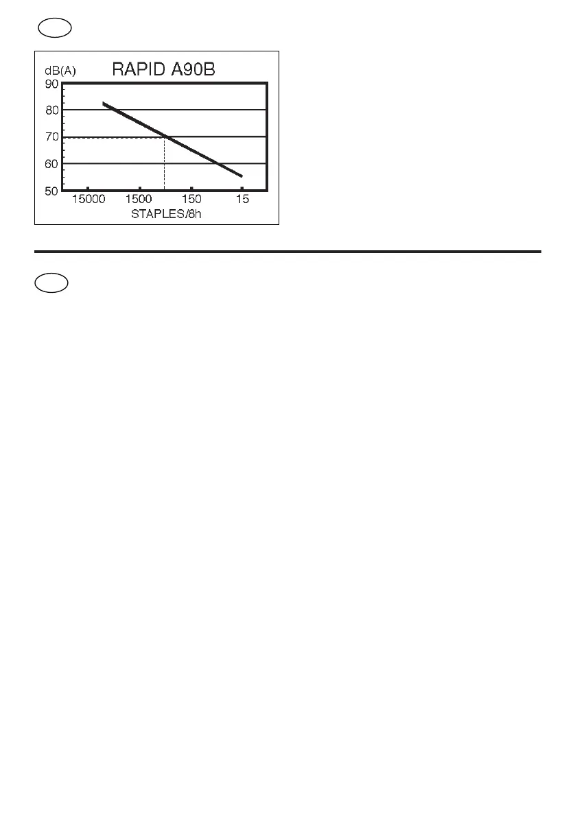
Au plus fort de lutilisation nivaeu sonore maxi-
mum de.
Ex. 1440 agrafes sur une période de 8 heures
donnent 70 db(A) (A106).
Mesure du bruit faite selon ISO 7779 avec possi-
bilité de test supplémentaire: Appareils électri-
ques: Code test bruit
L’équivalent de nivaeu de bruit 70 dB(A) est une
exgence allemande pour le nivaeu maximum de
bruit autorisé les lieux publics tels que les bouti-
ques, zone denregistrement, dans les aéroports,
réceptions et autres endroits similaires.
1. Lea detenidamente las instrucciones para el
uso.
2. Guarde las instrucciones.
3. Aténgase a las advertencias y a los datos
indicados en el aparato.
4. Al limpiar el aparato, procure que éste no esté
conectado a la red eléctrica. No utilice un
producto para la limpieza líquido o frasco
atomizador, sino un trapo suave.
5. No utilize el aparato en conexión con agua.
6. Procure que el aparato esté colocado en una
base firme.
7. El aparato está provisto de cable de acome-
tida conectado a tierra. Como medida de
precaución, procure que el aparato siempre se
conecte con un enchufe conectado a tierra.
8. En el caso de defectos no remediables con la
ayuda de estas instrucciones, póngase inmedi-
atamente en contacto con su suministrador o
con su propia estación de servicio.
9. En las averias que a continuación reseñamos,
unicamente personal capacitado deberia
intervenir:
A. Al estar dañado el cable de acometida o el
enchufe de clavija.
B. Si ha penetrado líquido en el aparato.
C. Si el aparato ha sido expuesto a lluvia o agua.
D. Si el aparato no funciona con normalidad a
pesar de haberse seguido las instrucciones
para el uso.
E. Si el aparato ha caido al suelo o la carcasa ha
sido dañada.
F. Si el aparato muestra un cambio significativo
en su funcionamiento normal.
G. No lleve a cabo Vd. mismo otros ajustes que
los que están descritos en estas instrucciones.
10.Mantenga los dedos fuera de la zona de
grapado.
11.Desconecte la corriente antes de limpiar,
ajustar y desplazar el aparato.
12.No deje que los niños usen el aparato sin
supervision de una persona responsable.
MEDIDAS DE PRECAUCION
E

Related product manuals