EasyManua.ls Logo

Raytheon Beech Baron D55 - 100-Hour Inspection

Raytheon Beech Baron D55
903 pages
Print Icon
To Next Page IconTo Next Page
To Next Page IconTo Next Page
To Previous Page IconTo Previous Page
To Previous Page IconTo Previous Page
Loading...
Raytheon
AiKraft
Company
BARON
55
AND
58
SHOP
MANUAL
SCHEDULED
INSPECTION
PROCEDURES
1.
As
each
item
is
inspected,
the
responsible
person
will
make
entries
as
required
and
will
initial
in
the
space
provided
in
the
right
column.
2.
When
the
inspection
is
complete,
the
person
making
the
inspection
will
sign
the
form
in
the
space
provided.
WARNING:
During
this
inspection
the
airplane
will
be
placed
on
three-point
jacks.
Ensure
the
landing
gear
I
is
down
and
locked
before
removing
the
airplane
from
the
jacks.
1
GO-HOUR
INSPECTION
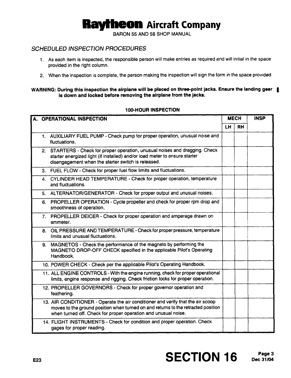
A.
OPERATIONAL
INSPECTION
MECH
IFISP
LH
RH
I
1.
AUXILIARY
FUEL
PUMP
Check
pump
for
proper
operation,
unusual
noise
and
fluctuations
2.
STARTERS
Check
for
proper
operation,
unusual
noises
and
dragging.
Check
starter
energized
light
(if
installed)
and/or
load
meter
to
ensure
starter
disengagement
when
the
starter
switch
is
released.
3.
FUEL
FLOW
Check
for
proper
fuel
flow
limits
and
fluctuations.
4.
CYLINDER
HEAD
TEMPERATURE
Check
for
proper
operation,
temperature
and
fluctuations.
5.
ALTERNATOR/GENERATOR
Check
for
proper
output
and
unusual
noises.
6.
PROPELLER
OPERATION
Cycle
propeller
and
check
for
proper
rpm
drop
and
smoothness
of
operation.
7.
PROPELLER
DEICER
Check
for
proper
operation
and
amperage
drawn
on
ammeter.
8.
OIL
PRESSURE
AND
TEMPERATURE
Check
for
proper
pressure,
temperature
limits
and
unusual
fluctuations.
9.
MAGNETOS
Check
the
performance
of
the
magneto
by
performing
the
MAGNETO
DROP-OFF
CHECK
specified
in
the
applicable
Pilot’s
Operating
Handbook.
10.
POWER
CHECK
Check
per
the
applicable
Pilot’s
Operating
Handbook.
1
1.
ALL
ENGINE
CONTROLS
With
the
engine
running,
check
for
proper
operational
limits,
engine
response
and
rigging.
Check
friction
locks
for
proper
operation.
12.
PROPELLER
GOVERNORS
Check
for
proper
governor
operation
and
feathering.
13.
AIR
CONDITIONER
Operate
the
air
conditioner
and
verify
that
the
air
scoop
moves
to
the
ground
position
when
turned
on
and
retums
to
the
retracted
position
when
turned
off.
Check
for
proper
operation
and
unusual
noise.
14.
FLIGHT
INSTRUMENTS
Check
for
condition
and
proper
operation.
Check
gages
for
proper
reading.
E23
SECTION
16
Dec
3f~04Page
3

Table of Contents