EasyManua.ls Logo

Roland M-GS64

Roland M-GS64
82 pages
To Next Page IconTo Next Page
To Next Page IconTo Next Page
To Previous Page IconTo Previous Page
To Previous Page IconTo Previous Page
Loading...
ee
re
025
126
Fingered
Bs
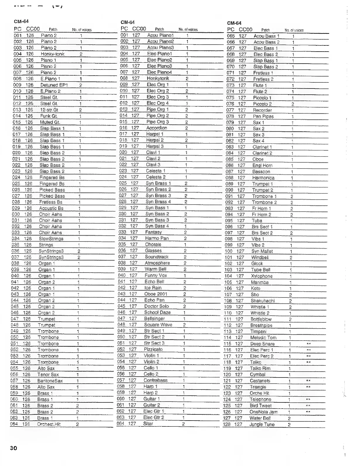
CM-64
PC
CCOO
Patch
No.
of
voices
001
126
Piano
2
3
002
126
Piano
2
1
003
126
Piano
2
1
004
126
Honky-tonk
2
005
126
Piano
i
1
006126
Piano
2
i
007,
126
Piano
2
i
008
126
E.Piano
1 1
009
126
_Detuned
EP1
2
010
126
E.Piano
2
1
O11
126
Steel
Gt.
1
012
126
Steel
Gt.
1
013
126
12-str.Gt
2
O14
126
Funk
Gt.
1
O18
126
Muted
Gt.
1
016
126
Slap
Bass
4
1
O17
126
Slap
Bass
1 4
O18
126
Slap
Bass
1
1
019
126
Slap
Bass
1
1
020
126
Slap
Bass
2
1
021
126
Slap
Bass
2
1
022
126
Slap
Bass
2
1
023
126
Slap
Bass
2
i
024
126
Fingered
Bs
1
1
1
CM-64
CM-64
PC
CCOO___
Path
No.
of
voices
PC
CCOO__
Patch
No.
ol
voices
001
127
Acou
Pianot
4
065
127
_Acou
Bass
1
1
002
127
Acou
Piano2
1
066
127
Acou
Bass
2
1
003.127
Acou
Piano3
1
067
127
Elec
Bass
1
1
004
127
Elec
Pianoi
al
068
127
Elec
Bass
2
i
005
127
Elec
Piano2
1
069
127
Slap
Bass
7
1
O06
127
Elec
Piano3
1
070
127
Siap
Bass
2
1
007
127
Elec
Piano4
1
071
127
Fretless
1
1
008
127
Honkytonk
2
072
127
‘Fretless
2
i
008
127
Elec
Org
1
1
073
127
Flute
4
il
010
127
Elec
Org2
2
074
127
Flute
2
1
O11
127
Elec
Org
3
1
075
127
Piccolo
1
1
012
127
Elec
Ora
4
+
076
127
Piccolo
2
2
013
127
Pipe
Org
1
2
077
127
Recorder
1
014
127
Pipe
Org
2
2
078
127
Pan
Pipes
1
015
127
Pipe
Org
3
2
079
127
~Sax1
al
016
127
Accordion
2
080
127
Sax2
1
017
127
Harpsii
i
087
127
Sax3
1
018
127
Harpsi
2
2
082
127
Sax4
1
019
127
Harpsi3
1
083
127
Clarinet
1
1
020
127
Clavii
4
084
127
Clarinet
2
1
021
127
Clavi2
Hi!
085
127
Oboe
1
022
127
Clavi3
i
086
127
Engl
Horn
1
023
127
Celesta
i
1
087
127
Bassoon
1
024
127
Celesta
2
1
088
127
Harmonica
i
025
127
Syn
Brass
1
2
089
127
Trumpet
1
1
2
1
2
2
2
2
1
2
2
2
2
i
1
1
2
2
026
126
Picked
Bass
026
127
Syn
Brass
2
090
127
Trumpet
2
027
126
Picked
Bass
027_
127
Syn
Brass
3
091
127
Trombone
i
028
126
Fretless
Bs
1
028
127
Syn
Brass
4
092
127
Trombone
2
029
126
Acoustic
Bs
1
029
127
Syn
Bass
1
093 127
FrHorn
1
030_126
Choir
Aahs
1
030
127
Syn
Bass
2
094
127
~FrHom2
031126
Choir
Aahs
1
031127
_
Syn
Bass
3
095
127
Tuba
032
126
Choir
Aahs
4
032_
127
__
Syn
Bass
4
096 127
Brs
Sect
4
033
126
Choir
Aahs
1
033
127
Fantasy
097
127
Brs
Sect2
2
034
126
SlowStrings
1
034
127
Harmo
Pan
098
127
Vibe
1 1
035
126
_
Strings
1
035
127
Chorale
1
099
127
Vibe?
1
036
126
SynStrings3
2
036127
Glasses
2
100
127
_
Syn
Mallet
4
037
126
SynStrings3
2
037
127
Soundtrack
2
101_127
Windbell
2
038
126
Oraan
1
FT
038_127
Atmosphere
2
102
127
Glock
1
039
126
Organ
1 1
039
127
Warm
Bell
2
103.127
Tube
Bell
i
040
126
Organ
1
1
040 127
Funny
Vox
1
104
127
Xviophone
1
041
126
Organ2
1
041
127
Echo
Bell
2
105
127
Marimba
1
042
126
Organ
4
1
042
127
Ice
Rain
2
106
127
Koto
1
043
126
Organ
1
1
043
127
Oboe
2001
2
107
127
Sho
2
044
126
Organ
2
q
044 127
Echo
Pan
2
108
127
Shakuhachi
2
045126
Organ
2
1
045 127
Doctor
Solo
2
109
127
Whistle
7
2
046
126
Organ
2
1
046
127
School
Daze
1
110
127
Whistle
2
1
047
126
Trumpet
1
047
127
Belisinger
1
111_127_
Bottlebiow
2
048
126
Trumpet
1
048
127
Square
Wave
2
112 127
Breathpipe
1
049°
126
Trombone
i
049°
127
Str
Sect
i
1
4113127
Timpani
1
050
126
|
Trombone
4
050
127
Str
Sect
2
1
114127
Melodic
Tom
1
051
126
Trombone
1
051127
Str
Sect3
tf
115
127
Deep
Snare
1
ae
052
126
Trombone
1
052
127
Pizzicato
i
116
127
Elec
Perc
1
"*
053
126
Trombone
1
053
127
Violin
1
1
117127
Elec
Perc
2
1
a
054
126
Trombone
4
054
127
Violin
2
i
118
127
Taiko
1
ae
055_
126
Alto
Sax
1
055127
Cello
t
4
119
127
Taiko
Rim
i
056
126
Tenor
Sax
4
056
127
Celio
2
1
120 127
Cymbal
1
057
126
BaritoneSax
1
057
127
Contrabass
i
121.127
Castanets
i
ae
058
126
Alto
Sax
1
058
127
Harp
4
4
122127
Triangle
1
xe
059
126
Brass
1
1
059
127
Ham2
1
123
127
Orche
Hit
1
060
126
Brass
1
1
060
127
Guitar
+
1
124
127
Telephone
1
ii
061126
Brass
2
2
061127
Guitar
2
i
125
127
Bird
Tweet
1
**
062_126
Brass
2
2
082
127
Elec
Gtr
t
1
126
127
OneNoteJam
1
a
063
126
Brass
1 1
063
127
Elec
Gtr2
1
127_127
‘Water
Bell
2
064
126
Orchest.Hit
2
064
127
Sitar
2
328
127
Jungle
Tune
2

Related product manuals