EasyManua.ls Logo

Romet CRS 50 - Operation and Maintenance Procedures

Romet CRS 50
Print Icon
To Next Page IconTo Next Page
To Next Page IconTo Next Page
To Previous Page IconTo Previous Page
To Previous Page IconTo Previous Page
Loading...
3. Fuel and machine oil
GB
Fuel
Only use unleaded gasoline with 95 octane or higher without any addings
and of best quality! The use of leaded gasoline may cause serious
damages on motor and muffler parts.
WARNING!
Do not add anything into the gasoline!
Gasoline is flammable and there is a risk of explosions!
Never overfill the tank, as this may lead to fuel loss and damages due
to the volume expansion from warmth.
Never let gasoline come in contact with the hot motor!
During re-fueling smoking, open fire or sparks are strongly forbidden!
Always wipe off spilt fuel immediately with a dry and clean soft cloth.
Fuel may deteriorate painted surfaces or plastic parts.
Avoid body contact to gasoline and do not breath in gasoline fumes!
Fuel tank capacity: Approx. 10.5 litres (CRS only), 12 litres (Zetka) resp.
4 litres (all other models)
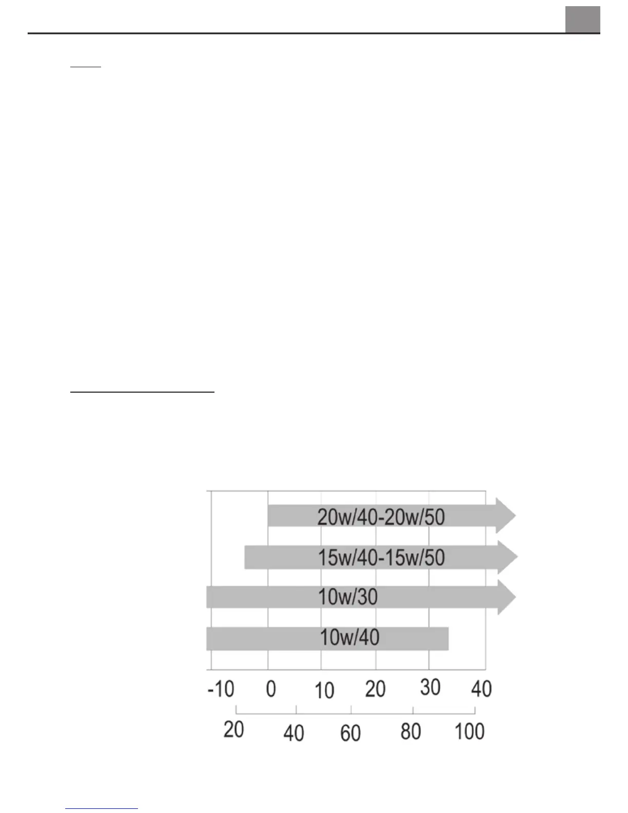
Machine / Engine oil
The sketch is showing the recommended
engine oils for different outside
temperatures. Always choose a fitting
engine oil. We recommend the use
of oil type SAE-15W/40.
Temperature: °C
°F
30

Related product manuals