EasyManua.ls Logo

royer R-10 - Page 9

royer R-10
19 pages
Print Icon
To Next Page IconTo Next Page
To Next Page IconTo Next Page
To Previous Page IconTo Previous Page
To Previous Page IconTo Previous Page
Loading...
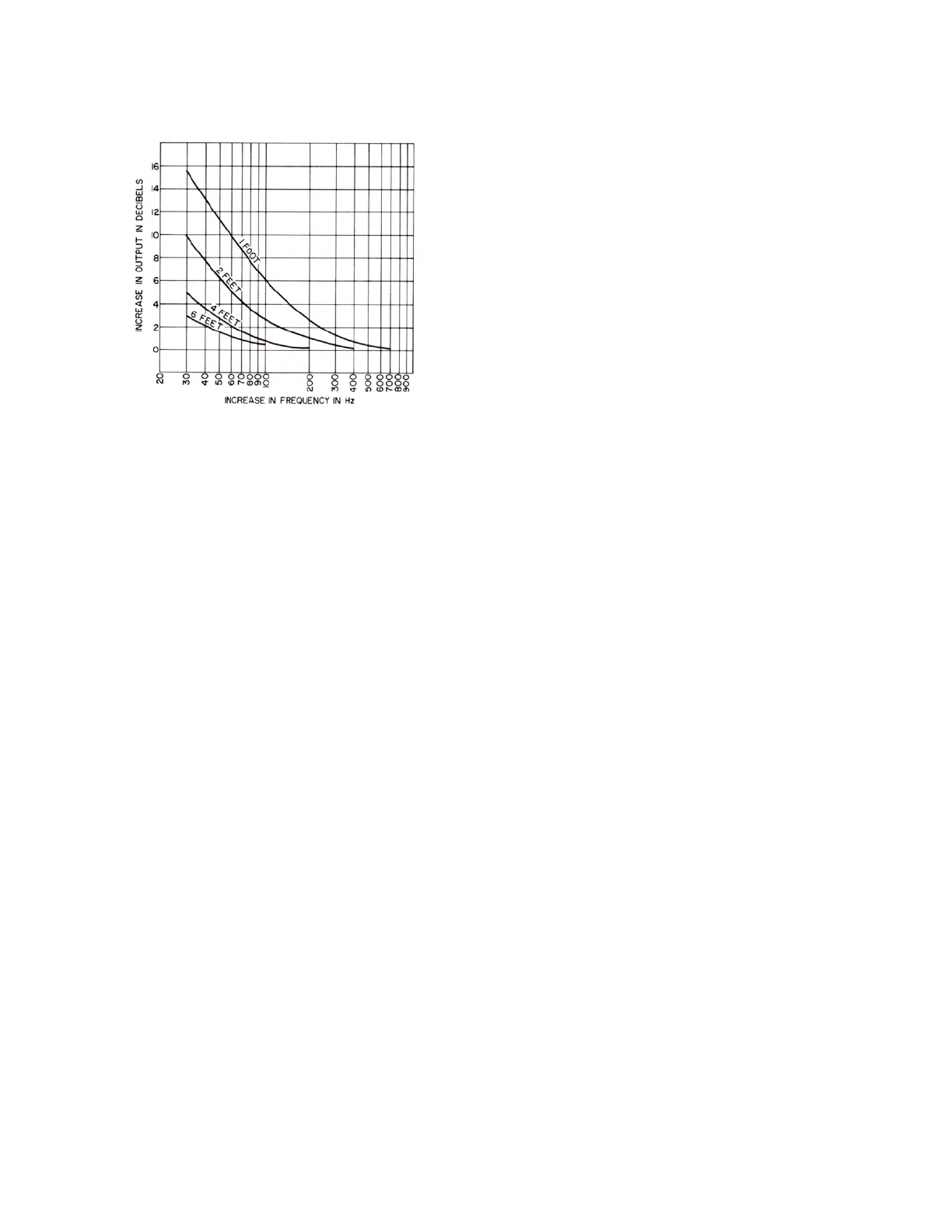
Typical relationship of microphone distance to
frequency response for ribbon-velocity bidirectional
microphone.
This bass-boosting characteristic can become quite intense and, if desired, can be corrected by
equalization. However, for a multiple microphone setup, the pronounced bass boosting (due to
proximity effect) can be turned to an advantage. If an instrument, such as a trumpet, is extremely
close-miked and the bass is cut to restore flat response, unwanted low-frequency sounds are cut
back by upwards of 20dB compared to an un-equalized microphone with a flat response. This
discrimination is independent of the microphone’s polar response.
Another area where proximity effect can be turned to an advantage is to make things sound
“more real than real.” For example, many voices and certain musical instruments produce
fundamental frequencies within the bass range (below 150Hz or so) but the fundamentals are
weak. If a microphone which has no proximity effect and a rising high frequency response is
used on an upright piano, or on a person with a thin, weak voice, the recorded sound is likely to
sound even thinner than it was in real life. In contrast, using a microphone with strong proximity
effect on such sound sources can deliver a “better than real” sound since the boosted bass
response will compensate for the weak fundamentals in the sound source. Since the fundamentals
are present, but weakened, boosting them by several dB will sound natural, even though the
sound has been sweetened.
Radio and television announcers have long relied on proximity effect to give a full, rich,
authoritative quality to their voices. By knowing how to work with the proximity effect, the
engineer can get several useful effects without resorting to a box.
9

Related product manuals