EasyManua.ls Logo

SCOTT 430A - Page 20

SCOTT 430A
24 pages
Print Icon
To Next Page IconTo Next Page
To Next Page IconTo Next Page
To Previous Page IconTo Previous Page
To Previous Page IconTo Previous Page
Loading...
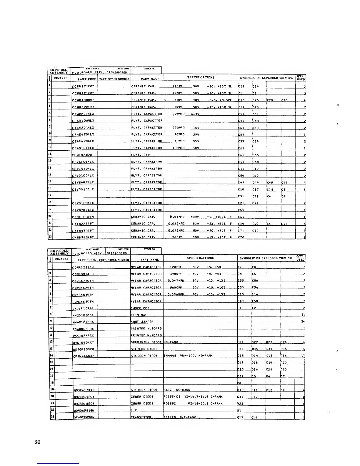
EXPLODED
ASSEMBLY p. w.
board as
SY.
APSAB005GD
I
REMARKS
PART
CODE
PART,
STOCK NUMBER PART NAME
SPECIFICATIONS
SYMBOLIC
OR
EXPLODED
VIEW
NO.
QTY
USED
1
CCFR
1 2
1K0T CERAMIC CAP.
120PF
50V
-10. +
13t SL :i3
en
2
2
rr.FB221K0T CERAMIC CAP.
770PF
50V
-10.
IS* SL Cl
jr.7
;
3
r.r.GBioonoT
CERAMIC CAP
SL
10PF
50V
-0.5.
<-0.5PF
C25 C26
C29 C30
A
4
r.r.r.B8 20<0T CERAMIC CAP. 82PF
50V
-15.
*llt
SL C19 'C20 2
5
f.EAB221ALX FLYT. CAPACITOR
720MFO
6.3V
C51
;
C52 7
6
CEADIOONLX
ELYT. CAPACITOR
C57 C58
2
7
CFS0221ALX FLYT. CAPACITOR
220NF0
16V
C67
:C68
7
8
tFAE470ALX FLYT. CAPACITOR
47MF0
25V :62
1
9
CEAF470ALX
ELYT. CAPACITOR 47W0
35V
C33 C34 2
10
CEAG101ALX
ELYT. CAPACITOR 1
OOMFD
50V :61
1
11
r.FOlllf.8201
FLYT. CAP
:65 C66
2
12
r.EVCl
OULX ELYT. CAPACITOR
r.47 :c48 7
13
r.FVC470ALX
FLYT. CAPACITOR
;ii c 12
2
14
r.EVDIOOALX ELYT.
CAPACITOR
;59
:C60 2
15
CEVE4P.7ALX
FLYT. CAPACITOR
:43
C44
C45 C46
4
16
C.FVGOIOALX
FLYT. CAPACITOR
cio :ci7
CIS C3
8
17
C31
;C32 C4 C9
18
C.EVG1O0ALX
ELYT.
CAPACITOR
:21
C22 2
19
T.FVG2R
7
AL X ELYT.
CAPACITOR
C63 1
20
CKDF
103PEM CERAMIC CAP.
O.OIMFO 5D0V -0.
*10D» F
C64
I
21
CKFB2?37FT
CERAMIC CAP. 0.O22MFO
50V
-23,
f C39
;
C40 C41
C42
4
22
CKFB4737FT
CERAMIC CAP.
0.047HFO
50V
-20. t80»
F
C71 !c72
?
23
C.KGB5AIKBT
CERAMIC
CAP. 560FF
50V
-13.
»13t B C70
1
EXPLODED
ASSEMBLY
PART
NAM
P.U.BOA«0 AS
l PART CODE
APSAR005C0
STOCK NO.
J
REMARKS
PART
CODE
PART. STOCK
NUMBER
PART NAME
SPECIFICATIONS
SYMBOLIC OR
EXPLODED
VIEW NO.
QTY
USED
1
r.pMB122JEH
MYI
AR
CAPACITOR 12O0PF
50V
-5,
5*
a
icB
2
2
rQMR397.IFH
MYI AR CAPACITOR
390QPF 50V
-5.
5* C5
jCft 1
3
C0MB473KTH
MYI
AR CAPACI TOR
0.047NF0
50V -ID
131
C55
:C56
?
4
I-OPB562KTH
MYLAR
TAPACITOR 56Q0PF
50V
-10.
101
:53 ic54
J
5
r.OMR5
63KTH
MYI AR
CAPACITOR 0.056MFD 50V
-10.
131 C15 £16 !
e
(-OMC563KEH
MYI AR CAPACITOR C49 |C50
?
7
1 A 31
F10?4A
CHOKE
COIL LI 12
2
8
MW701BS001
TERMINAL
21
9
MW401CX006
SHOT
JAMPER
24
10
PSAB005COX
PRINTFO W.
BOARD 1
11
PS410A»*CX
PRINTED W. BOARD I
12
OOG1N60XXT
GFRMANTUM DIODE NO-RANK
321
022 023
24
4
13
onsr,P20RXG
SIL
ICON DIODE
333 ID34
035
P36
4
14
ODSN4A4SXZ
SILICON
niODE 1N4448 VRM=100V NO-RANK 313
:oi4 D15 bu 17
15
D17
DIB
019
ID20
IS
PS5
026
029
j)30
17
037 |D5
D6 07
18
18
19
pnsRAl
2XXD
Sll ICON DIODE RA1Z NO-RANK
Pio
'on
012
ID9
4
20
OOZPD1
5FCA KENER,
.DIODE
RD15EIC!
VZ-14.
7-16.5
C- RANK
031 :032
?
21
0DZRO1B6CA
ZENFR
DIOOE
RD18FC VZM8-20.3 C-
3AN<
328
1
23
OOM06551BN i.e.
Jl
1
2:I
OTA077
0XBN TRANSISTOR 2SA720 O.R
-R.ANK
qi3
501*
?

Related product manuals