EasyManua.ls Logo

Servodan 74-350 - Caractéristiques Techniques

Servodan 74-350
Print Icon
To Previous Page IconTo Previous Page
To Previous Page IconTo Previous Page
Loading...
15(15)
Servodan A/S | Tel +45 7442 4726 | Fax + 45 7442 4035 | info@servodan.dk | www.servodan.com
F
Caractéristiques techniques
Entrée :
Alimentation ........................... 230 V ±10%, 50 Hz
Chute de tension maximale
sur le variateur ....................... -5%
Consommation propre .......... ± 1 W
Impédance d'entrée :
0 à 10 V .............................. 33 k
1 à 10 V .............................. 22 k
Sortie :
Charge minimale.................... 60 W
Charge maximale................... 750 VA résistive, inductive et
capacitive (t° < 35°C)
Tension de sortie maximale ... Tension d'alimentation x 0,95
(puissance dissipée = max. 1% de
la puissance absorbée = max. 7 W)
Protections ............................ électrique, thermique (105 °C)
avec fonction redémarrage
automatique (l'éclairage est réduit
à l'intensité minimale). Si
la température ne diminue pas,
la charge est coupée.
- protection antisurchage thermique
simple (135 °C)
Performance :
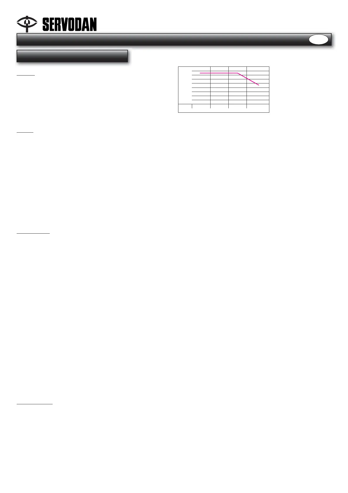
Température ambiante admise
. voir tableau de charge
Température maximale de couverture (tc)
90 °C
Distance maximale jusqu'au dernier
poussoir ................................. 100 m
Câblage d'une commande analogique :
Le circuit de commande et le circuit électrique du variateur
ont une isolation galvanisée.
Les entrées de commande du variateur sont conformes aux
exigences applicables aux tensions extra faibles de sécurité
(SELV). Si les signaux de commande viennent d'appareils
électriques respectant eux aussi les exigences SELV, aucune
exigence particulière n'est applicable en ce qui concerne le
diamètre des câbles ou l'isolation des câbles de commande.
Il convient de maintenir les câbles de commande à l'écart des
câbles 230V~ (min. 10 mm). Si tel n'est pas le cas, les garanties
SELV ne s'appliquent pas.
Humidité ................................ Conçu pour une utilisation dans un
environnement
à humidité ambiante sans conden
sation (30% à 70%)
Installation ............................. Rail DIN (2U)
Poids ..................................... ±144 g
Diamètre maximal des câbles par borne de raccordement :
Alimentation électrique et charge
.. 2 x 2,5 mm
2
ou 1 x 4 mm
2
Entrée .................................. 2 x 2,5 mm
2
ou 1 x 4 mm
2
Homologation :
CE selon ................................ EN60669-2-1 et EN55015
Tableau de charge: puissance en fonction de la température
ambiante
puissance (W/VA)
800
700
600
500
400
300
200
100
0
02035 50
température (°C)
Si les variateurs sont placés l'un à côté de l'autre, ils peuvent
être chargés à maximum 80%.