EasyManua.ls Logo

Sharkline S-Pool - Page 4

Default Icon
22 pages
Print Icon
To Next Page IconTo Next Page
To Next Page IconTo Next Page
To Previous Page IconTo Previous Page
To Previous Page IconTo Previous Page
Loading...
01
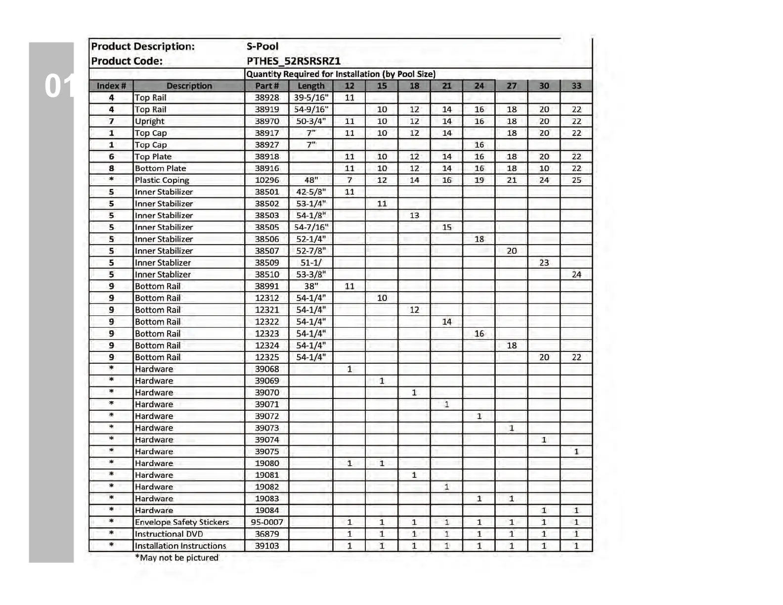
Descrip on Part # 15’ 18’ 21’ 24’ 27’ 30’ 33’
TOP LEDGE
S-POOL SCREW COVER RIGHT
S-POOL SCREW COVER LEFT
S-POOL COMMON RAIL (12’ Round Only)
STABILIZER
TOP PLATE
METAL UPRIGHT (FOR 52’ TALL POOL)
BOTTOM FOOT PLATE
BOTTOM RAIL
WALL
SCREW 12X1 18-8SS PHILLIPS PAN HEAD
(May not be shown)
SCREW 10X1/2 18-8 A PHILHEX WASHERHEAD
(May not be shown)
S-POOL COMMON RAIL (15’ 33’ Round)
METAL UPRIGHT (FOR 54’ TALL POOL)
38917
38920
38921
38928
38919
XXXXX
38918
38970
38
971
3
8916
XXXXX
XXXXX
99-0085
99-0068
12’
11
1
44
10
1
40
12
1
48
14
1
56
16
1
64
18
1
72
20
1
80
22
1
88
11 10 12 14 16 18 20 22
11 10 12 14 16 18 20 22
11 10 12 14 16 18 20 22
44 40 48 56 64 72 80 88
11 10 12 14 16 18 20 22
11 10 12 14 16 18 20 22
11 10 12 14 16 18 20 22
11 10 12 14 16 18 20 22
11 10 12 14 16 18 20 22
11 10 12 14 16 18 20 22
11 10 12 14 16 18 20 22
PARTS LISTING

Related product manuals