EasyManua.ls Logo

Sharp R-4P58 - Page 17

Sharp R-4P58
44 pages
Print Icon
To Next Page IconTo Next Page
To Next Page IconTo Next Page
To Previous Page IconTo Previous Page
To Previous Page IconTo Previous Page
Loading...
TEST
PROCEDURES
(CONT'D)
PROCEDURE
.
_
LETTER
COMPONENT
TEST
a
G
BLOWN
FUSE
15A
(F2)
GARRY
OUT
3D
CHECKS.
Bs
»
If
the
fuse
15A
is
blown,
there
could
be
a
shorts
or
grounds
in
electrical
parts
or
wire
harness.
Check
|
them
and
replace
the
defective
parts
or
repair
the
wire
harness.
|
CARRY
OUT
4R
CHECKS.
CAUTION:
Only
replace
fuse
15A
with
the
correct
value
replacement.
H
BLOWN
FUSE
T160mA
{F1)
CARRY
OUT
3D
CHECKS.
'f
the
fuse
T1GOmA
(F1)
is
blown
when
the
door
is
opened,
check
the
primary
latch
switch,
monitor
switch
and
monitor
resistor.
ifthe
fuse
T160mA
(F1)
is
blown
by
incorrect
door
switching
replace
the
defective
switch(es)
and
the
fuse
T160mA
(Fi).
CARRY
OUT
4R
CHECKS.
CAUTION:
Only
replace
fuse
with
the
correct
value
replacement.
l
BLOWN
FUSE
F8A
{F3)
CARRY
OUT
3D
CHECKS.
Ifthe
fuse
F8A
(F3)
is
blown,
there
could
be
a
short
in
the
asymmetric
rectifier
or
there
is
a
ground
in
wire
harness.
A
short
in
the
asymmetric
rectifier
may
be
occurred
due
to
short
or
ground
in
H.V.
rectifier,
magnetron,
high
voltage
transformer
or
H.V.
wire.
Check
them
and
replace
the
defective
parts
or
repair
the
wire
harness.
[
CARRY
OUT
4R
CHECKS.
CAUTION:
Only
replace
fuse
with
the
correct
value
replacement.
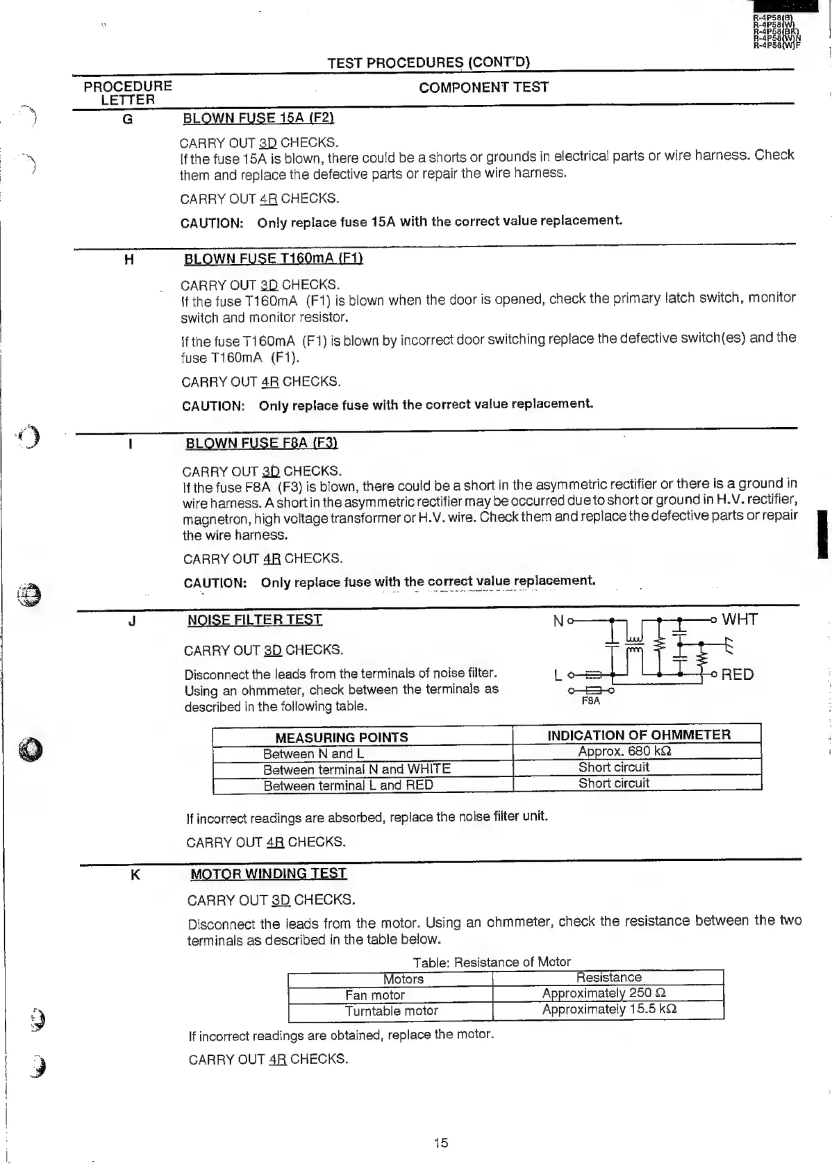
J
NOISE
FILTER
TEST
CARRY
OUT
3D
CHECKS.
Disconnect
the
leads
from
the
terminals
of
noise
filter.
Using
an
ohmmeter,
check
between
the
terminals
as
described
in
the
following
table.
[Between
terminal
Nand
WHITE
|
Shortecirouit_
[Between
terminalLandRED
|
Shortoirouit_
If
incorrect
readings
are
absorbed,
replace
the
noise
filter
unit.
CARRY
OUT
4R
CHECKS.
K
MOTOR
WINDING
TEST
CARRY
OUT
3D
CHECKS.
Disconnect
the
leads
from
the
motor.
Using
an
ohmmeter,
check
the
resistance
between
the
two
terminals
as
described
in
the
table
below.
Table:
Resistance
of
Motor
[Motors
——s—‘(izdTsSS™C~™~*~“‘SC@RRA@SFiStNCO@
Fan
otor—___
|
___
Approximately
250.6
Turntable
motor
Approximately
15.5
kQ
If
incorrect
readings
are
obtained,
replace
the
motor.
CARRY
OUT
4R
CHECKS.
15

Related product manuals