EasyManua.ls Logo

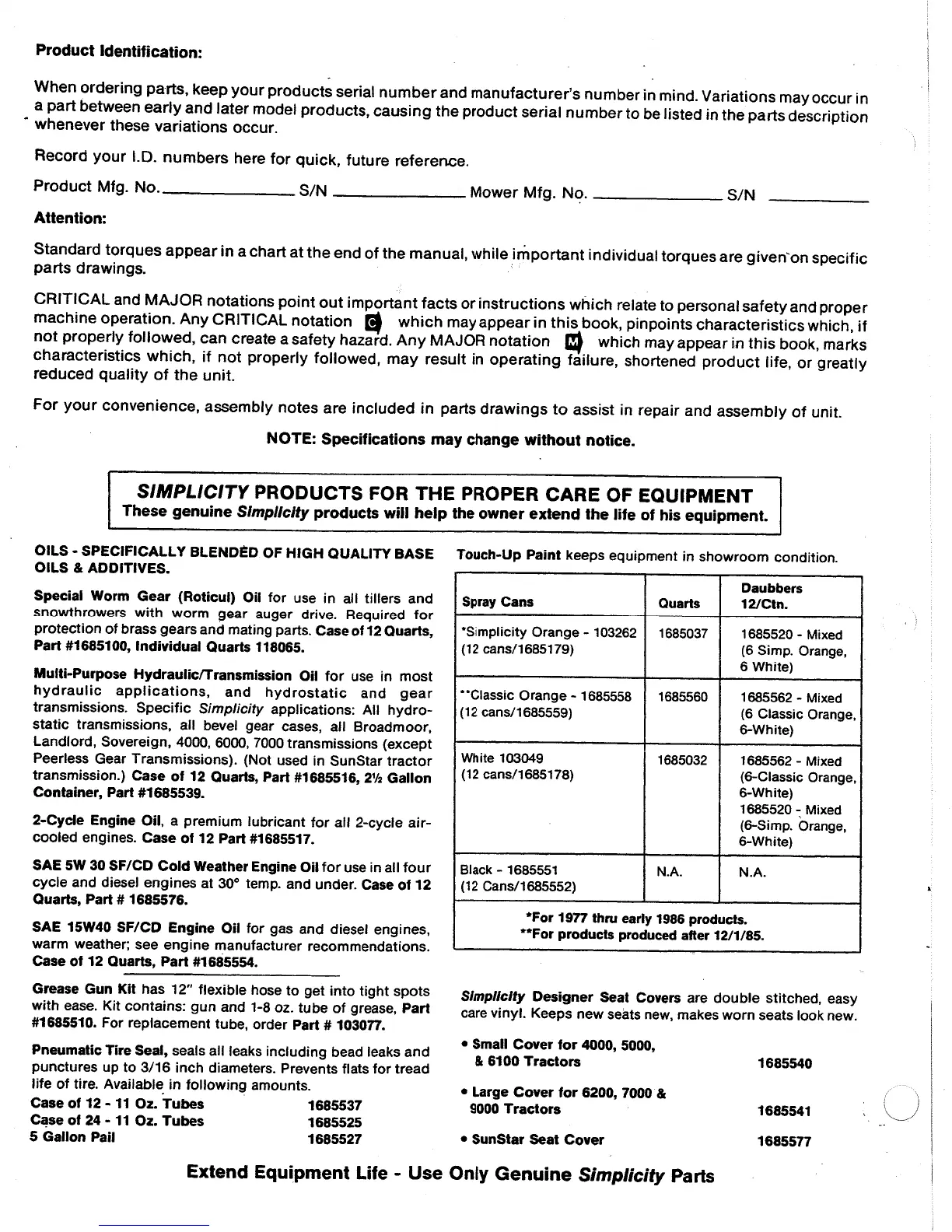
Simplicity 3100 Series - Product Identification; Simplicity Products for Equipment Care

Simplicity 3100 Series
68 pages
Print Icon
To Next Page IconTo Next Page
To Next Page IconTo Next Page
To Previous Page IconTo Previous Page
To Previous Page IconTo Previous Page
Loading...

Related product manuals