EasyManua.ls Logo

SIRS Navigation KCA0104W - Page 22

Default Icon
64 pages
Print Icon
To Next Page IconTo Next Page
To Next Page IconTo Next Page
To Previous Page IconTo Previous Page
To Previous Page IconTo Previous Page
Loading...
SIRS NAVIGATION LTD
COMPONENT MAINTENANCE MANUAL
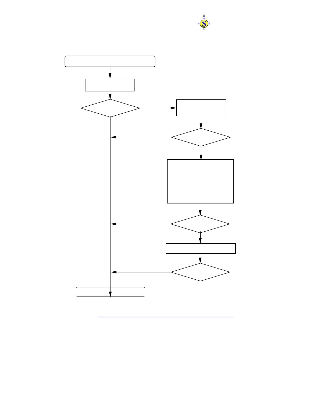
COMPASS LIGHT IS DEFECTIVE
EXAMINE THE ELECTRICAL
CONTINUITY BETWEEN THE TWO
CONNECTORS OF THE ‘LIGHT
A
SSEMBLY’. MEASURE THE
RESISTANCE VALUE BETWEEN THE
TWO CONNECTOR PINS AND
COMPARE WITH THE VALUE
SPECIFIED FOR THE COMPASS
MODEL.
REPAIR IF NECESSARY
MEASURE THE POWER
SUPPLY CONTINUITY AND
REPAIR IF FAULTY
FILAMENT LAMP
OPERATES
PROBLEM SOLVED
YES
NO
YES
NO
YES
NO
REPLACE THE ‘LIGHT ASSEMBLY’ (230)
YES
FILAMENT LAMP
OPERATES
‘FILAMENT LAMP’
OPERATES
FILAMENT LAMP
OPERATES
REPLACE FILAMENT LAMP
(360)
TROUBLESHOOTING – DEFECTIVE LIGHTING
Figure 1001
PAGE 1002
APR 10/03
34-25-21
The document reference is online, please check the correspondence between the online documentation and the printed version.

Related product manuals