EasyManua.ls Logo

Skeeter 200-SX - Dual Battery 24 V Setup; Dual Battery 12;24 V Setup

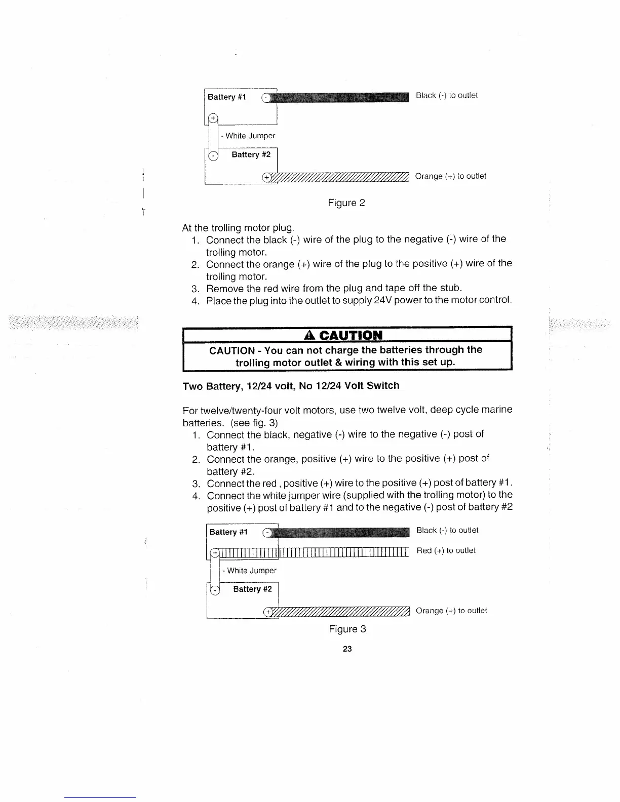
Default Icon
31 pages
Print Icon
To Next Page IconTo Next Page
To Next Page IconTo Next Page
To Previous Page IconTo Previous Page
To Previous Page IconTo Previous Page
Loading...

Other manuals for Skeeter 200-SX

Related product manuals