EasyManua.ls Logo

Sony CCD-TR728E - Editing; Dubbing a tape; Connect using an S video cable (optional)

Sony CCD-TR728E
112 pages
Print Icon
To Next Page IconTo Next Page
To Next Page IconTo Next Page
To Previous Page IconTo Previous Page
To Previous Page IconTo Previous Page
Loading...
61
Editing Монтаж
Dubbing a tape
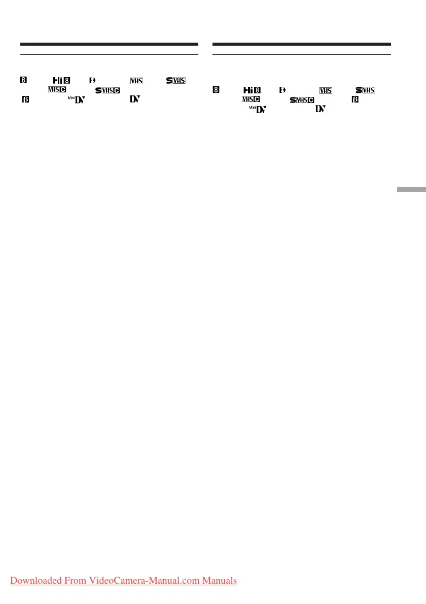
You can edit on VCRs that support the
following systems
8 mm, Hi8, Digital8, VHS,
S-VHS, VHSC, S-VHSC,
Betamax, mini DV or DV
Connect using an S video cable (optional) to
obtain high-quality pictures
With this connection, you do not need to connect
the yellow (video) plug of the A/V connecting
cable.
Connect an S video cable (optional) to the S video
jacks of both your camcoder and the VCR.
Перезапись ленты
Вы можете выполнять монтаж на КВМ,
которые поддерживают следующие
системы
8 мм, Hi8, Digital8, VHS,
S-VHS, VHSC, S-VHSC,
Betamax, mini DV или DV
Выполните подсоединение с помощью
кабеля S видео (не прилагается) для
получения высококачественных
изображений
При таком подсоединении Вам не нужно
подсоединять желтый (видео) штекер
соединительного кабеля аудио/видео.
Подсоедините кабель S видео (не
прилагается) к гнездам S видео на Вашей
видеокамере и КВМ.
Downloaded From VideoCamera-Manual.com Manuals

Table of Contents

Other manuals for Sony CCD-TR728E

Related product manuals