EasyManua.ls Logo

Sony RM-E80 - Page 8

Sony RM-E80
18 pages
Print Icon
To Next Page IconTo Next Page
To Next Page IconTo Next Page
To Previous Page IconTo Previous Page
To Previous Page IconTo Previous Page
Loading...
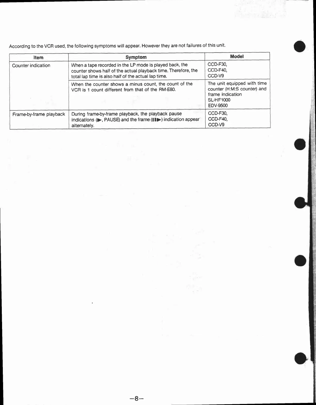
According
to the VCR
used, the
following symptoms
will
appear.
However
they are
not
failures
of
this
unit.
Item
Symptom
Model
Counter
indication
When
a tape
recorded in the LP
mode is
played
back,
the
counter shows
half
of the
actual
playback
time.
Therefore,
the
total
lap time
is
also
half of the actual
lap time.
ccD-F30,
ccD-F40,
ccD-vg
When the
counter shows a minus count,
the
count
of
the
VCR is 1
count
different
from
that
of
the
RM-880.
The
unit
equipped
with
time
counter
(H:M:S
counter)
and
frame indication
SL.HFlOOO
EDV-9500
Framaby-frame
playback
During
frameby-frame
playback,
the
playback
pause
indications
(>,
PAUSE)and
the
frame
(ll>)
indication
apqeal
alternately.
CCD.Fæ,
ccDF40,
CCDVg
-8-

Related product manuals