EasyManua.ls Logo

Sony SAL50M28 - Troubleshooting

Sony SAL50M28
65 pages
Print Icon
To Next Page IconTo Next Page
To Next Page IconTo Next Page
To Previous Page IconTo Previous Page
To Previous Page IconTo Previous Page
Loading...
1-3
SAL50M28 (MACRO 2.8/50) (50mm F2.8 Macro)
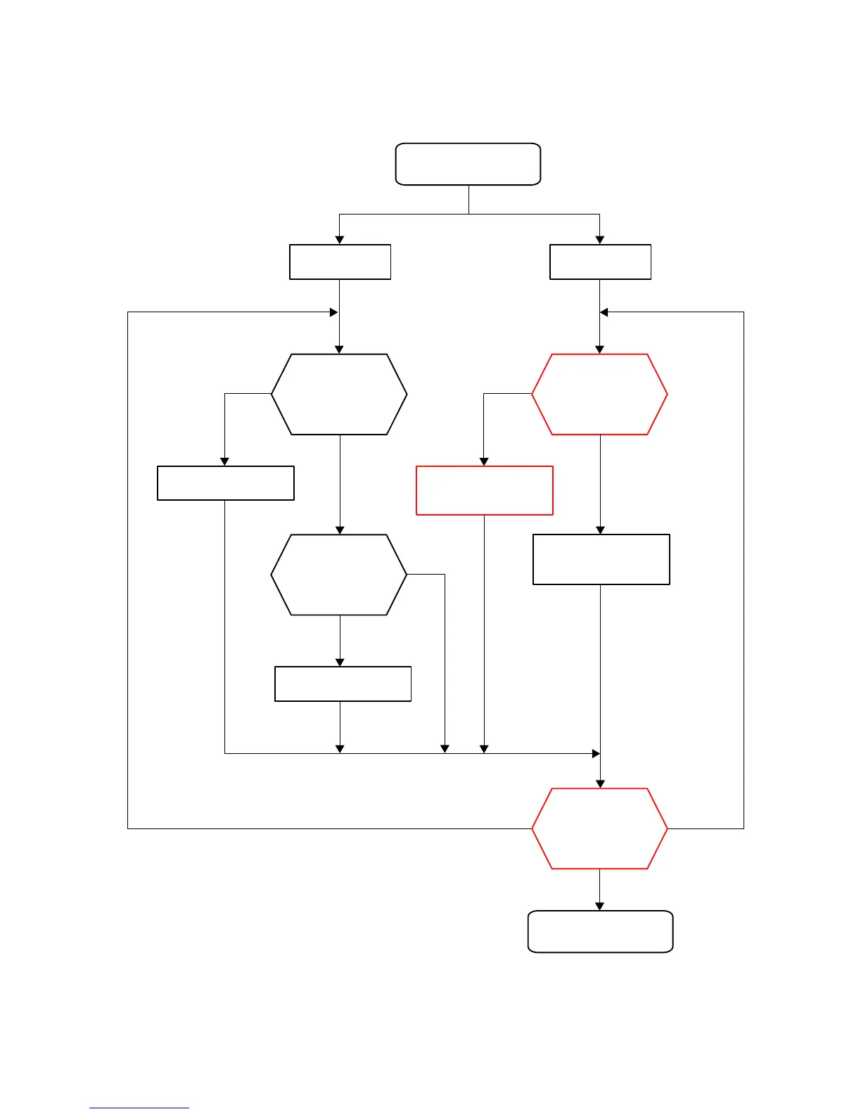
1-5. TROUBLESHOOTING
1-5-1. Aperture Trouble
Ver 1.1 2007.02
NG
Check operation of
the preset ring.
Replace the defective part.
Check operation of the
preset ring, and replace
the defective part.
Perform the aperture
diameter adjustment.
(See page 4-7.)
Perform the aperture
diameter check.
(See page 4-4.)
NG
Check operation of the
aperture control block.
OK
OK
OK
Function NG F No. NG
Aperture trouble
Replace the defective part.
NG
NGNG
END
OK
Perform the aperture
diameter check.
(See page 4-4.)

Related product manuals