EasyManua.ls Logo

Soosan SB70 - Page 81

Default Icon
121 pages
Print Icon
To Next Page IconTo Next Page
To Next Page IconTo Next Page
To Previous Page IconTo Previous Page
To Previous Page IconTo Previous Page
Loading...
Soosan
H
y
draulic Breaker
Soosan Heav
y
Industries Co.
,
Ltd
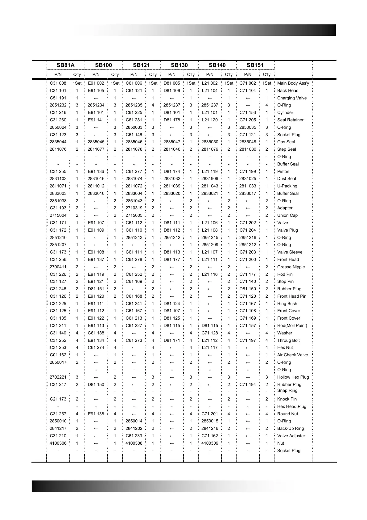
MAIN BODY (SB81A,100,121,130,140,151)
SB81A SB100 SB121 SB130 SB140 SB151
NO
P/N Q'ty P/N Q'ty P/N Q'ty P/N Q'ty P/N Q'ty P/N Q'ty
PARTS NAME REMARK
C31 008 1Set E91 002 1Set C61 006 1Set D81 005 1Set L21 002 1Set C71 002 1Set Main Body Ass'y
1 C31 101 1 E91 105 1 C61 121 1 D81 109 1 L21 104 1 C71 104 1 Back Head
2 C51 191 1 1 1 1 1 1 Charging Valve
3 2851232 3 2851234 3 2851235 4 2851237 3 2851237 3 4 O-Ring
4 C31 216 1 E91 101 1 C61 225 1 D81 101 1 L21 101 1 C71 153 1 Cylinder
5 C31 260 1 E91 141 1 C61 281 1 D81 178 1 L21 120 1 C71 205 1 Seal Retainer
6 2850024 3 3 2850033 3 3 3 2850035 3 O-Ring
7 C31 123 3 3 C61 146 3 3 3 C71 121 3 Socket Plug
8 2835044 1 2835045 1 2835046 1 2835047 1 2835050 1 2835048 1 Gas Seal
9 2811076 2 2811077 2 2811078 2 2811040 2 2811079 2 2811080 2 Step Seal
10 - - - - - - - - - - - - O-Ring
11 - - - - - - - - - - - - Buffer Seal
12 C31 255 1 E91 136 1 C61 277 1 D81 174 1 L21 119 1 C71 199 1 Piston
13 2831103 1 2831016 1 2831074 1 2831032 1 2831906 1 2831025 1 Dust Seal
14 2811071 1 2811012 1 2811072 1 2811039 1 2811043 1 2811033 1 U-Packing
15 2833003 1 2833010 1 2833004 1 2833020 1 2833021 1 2833017 1 Buffer Seal
16 2851038 2 2 2851043 2 2 2 2 O-Ring
17 C31 193 2 2 2710319 2 2 2 2 Adapter
18 2715004 2 2 2715005 2 2 2 2 Union Cap
19 C31 171 1 E91 107 1 C61 112 1 D81 111 1 L21 106 1 C71 202 1 Valve
20 C31 172 1 E91 109 1 C61 110 1 D81 112 1 L21 108 1 C71 204 1 Valve Plug
21 2851210 1 1 2851213 1 2851212 1 2851215 1 2851216 1 O-Ring
22 2851207 1 1 1 1 2851209 1 2851212 1 O-Ring
23 C31 173 1 E91 108 1 C61 111 1 D81 113 1 L21 107 1 C71 203 1 Valve Sleeve
24 C31 256 1 E91 137 1 C61 278 1 D81 177 1 L21 111 1 C71 200 1 Front Head
25 2700411 2 2 2 2 2 2 Grease Nipple
26 C31 226 2 E91 119 2 C61 252 2 2 L21 116 2 C71 177 2 Rod Pin
27 C31 127 2 E91 121 2 C61 169 2 2 2 C71 140 2 Stop Pin
28 C31 246 2 D81 151 2 2 2 2 D81 150 2 Rubber Plug
29 C31 126 2 E91 120 2 C61 168 2 2 2 C71 120 2 Front Head Pin
30 C31 225 1 E91 111 1 C61 241 1 D81 124 1 1 C71 167 1 Ring Bush
31 C31 125 1 E91 112 1 C61 167 1 D81 107 1 1 C71 108 1 Front Cover
31-1 C31 185 1 E91 122 1 C61 213 1 D81 125 1 1 C71 169 1 Front Cover Silence
32 C31 211 1 E91 113 1 C61 227 1 D81 115 1 D81 115 1 C71 157 1 Rod(Moil Point)
33 C31 140 4 C61 188 4 4 4 C71 128 4 4 Washer
34 C31 252 4 E91 134 4 C61 273 4 D81 171 4 L21 112 4 C71 197 4 Throug Bolt
35 C31 253 4 C61 274 4 4 4 L21 117 4 4 Hex Nut
36 C01 162 1 1 1 1 1 1 Air Check Valve
37 2850017 2 2 2 2 2 2 O-Ring
38 - - - - - - - - - - - - O-Ring
39 2702221 3 2 3 3 3 3 Hollow Hex Plug
40 C31 247 2 D81 150 2 2 2 2 C71 194 2 Rubber Plug
41 - - - - - - - - - - - -
Snap Ring
Not Use
42 C21 173 2 2 2 2 2 2 Knock Pin
43 - - - - - - - - - - - - Hex Head Plug Not Use
44 C31 257 4 E91 138 4 4 4 C71 201 4 4 Round Nut
45 2850010 1 1 2850014 1 1 2850015 1 1 O-Ring
46 2841217 2 2 2841202 2 2 2841216 2 2 Back-Up Ring
47 C31 210 1 1 C61 233 1 1 C71 162 1 1 Valve Adjuster
48 4100306 1 1 4100308 1 1 4100309 1 1 Nut
49 - - - - - - - - - - - - Socket Plug Not Use
50 4130039 4 4 4 4 4 4130041 4 Heli Sert Coil

Related product manuals