EasyManua.ls Logo

Star Trac Elliptical Edge - Page 16

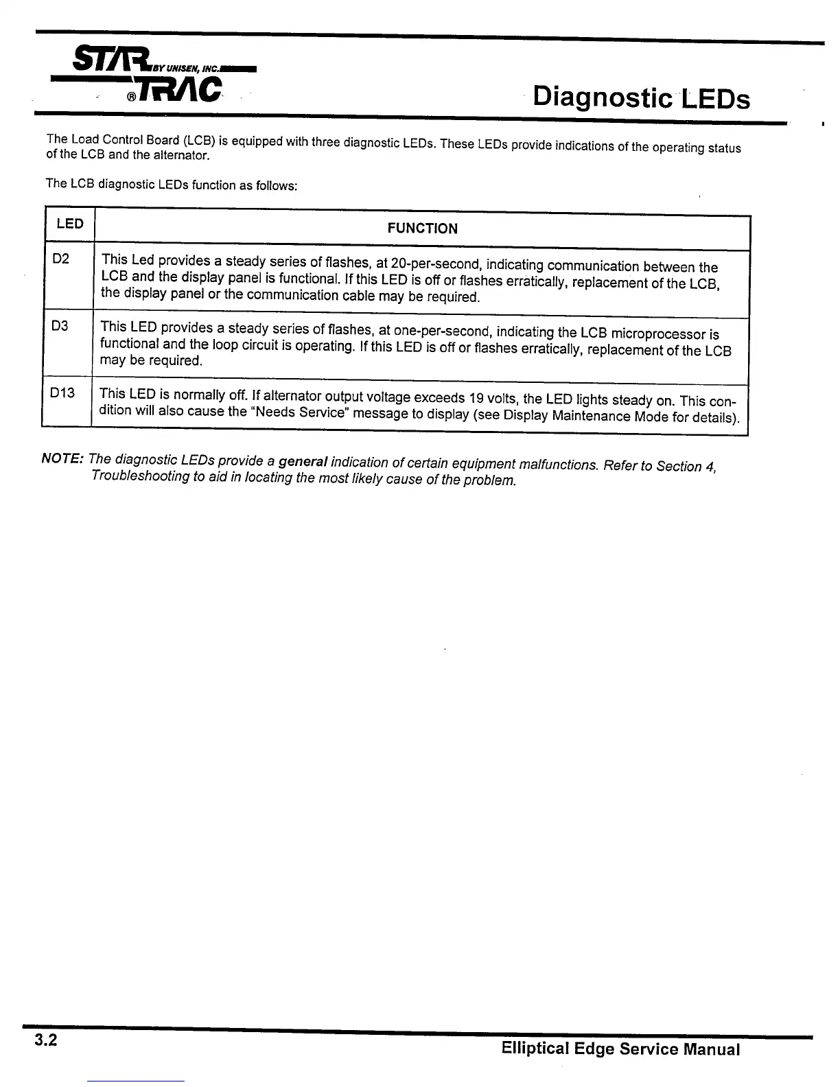
Star Trac Elliptical Edge
56 pages
Print Icon
To Next Page IconTo Next Page
To Next Page IconTo Next Page
To Previous Page IconTo Previous Page
To Previous Page IconTo Previous Page
Loading...

Other manuals for Star Trac Elliptical Edge

Related product manuals