EasyManua.ls Logo

Stealth PINNACLE - Page 56

Stealth PINNACLE
105 pages
Print Icon
To Next Page IconTo Next Page
To Next Page IconTo Next Page
To Previous Page IconTo Previous Page
To Previous Page IconTo Previous Page
Loading...
Installation and Maintenance
Service Manual
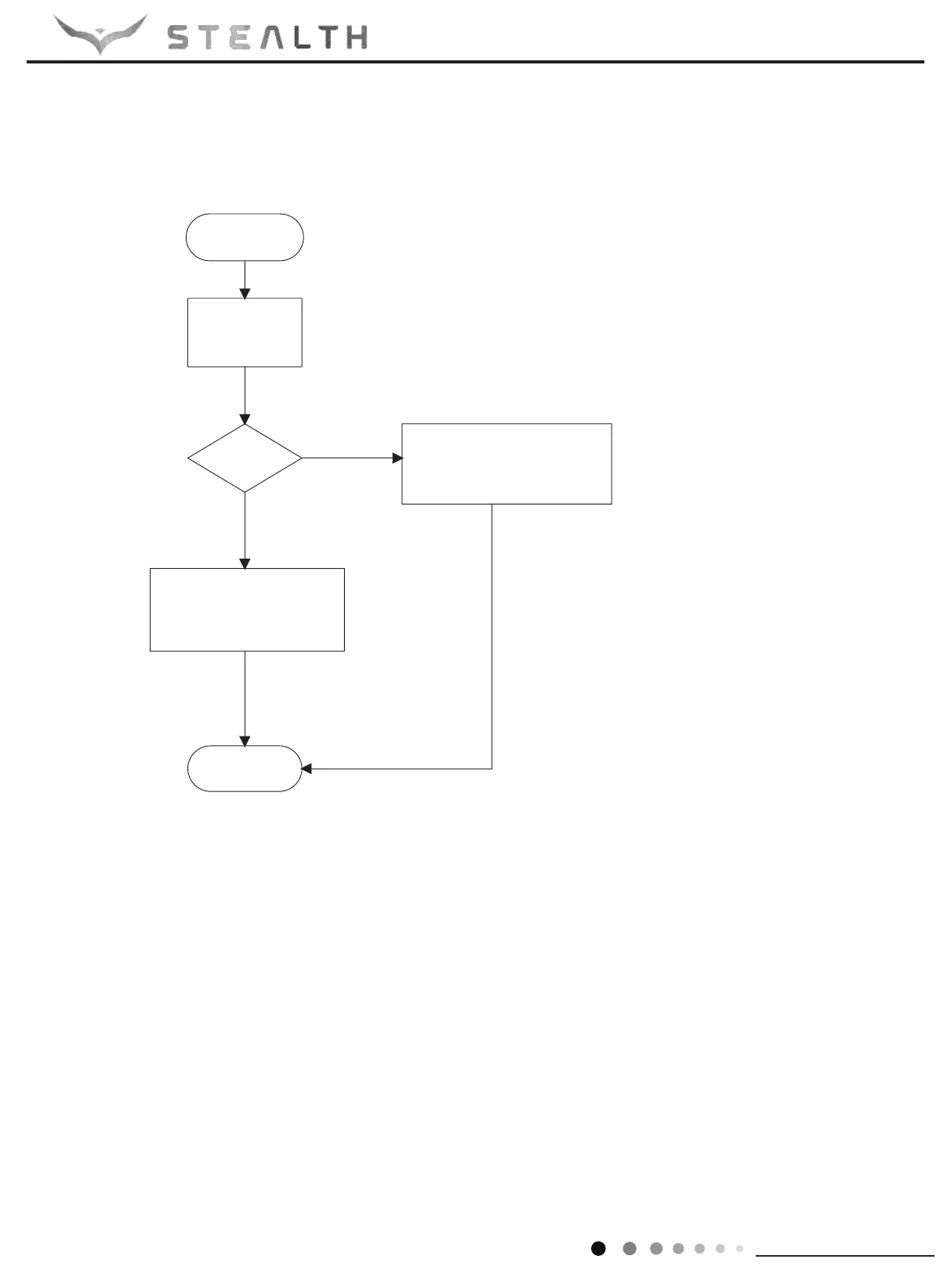
5. Malfunction of Zero-crossing Inspection Circuit Malfunction of the IDU Fan Motor U8
Main detection points:
Instant energization afte de-energization while the capacitordischarges slowly?
The zero-cross detectioncircuit of the mainboard is defined abnormal
Malfunction diagnosis process:
Turn power off for
1minute,the turn
back on
The unit returns to normal.
Conclusion:U8 is displayed due to
power off/on while the
capacitor discharges slowly.
U8 is still
displayed
The zero-cross detection circuit
of the mainboard is defined
abnormal.Replace the mainboard
with the same model
Yes
No
Start
End
57

Related product manuals