EasyManua.ls Logo

Technics SH-GE90 - Cabinet Parts Location; Cabinet Assembly Overview

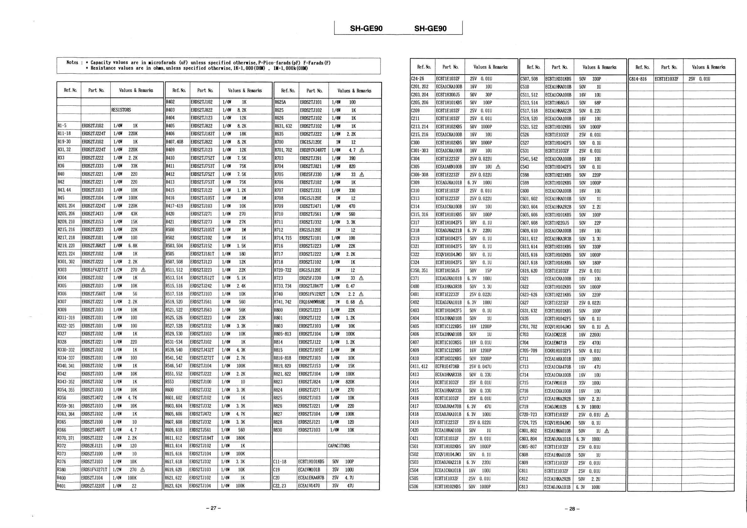
Technics SH-GE90
20 pages
Print Icon
To Next Page IconTo Next Page
To Next Page IconTo Next Page
To Previous Page IconTo Previous Page
To Previous Page IconTo Previous Page
Loading...

Other manuals for Technics SH-GE90

Related product manuals