EasyManua.ls Logo

Technics SX-KN440 - Page 94

Technics SX-KN440
98 pages
Print Icon
To Next Page IconTo Next Page
To Next Page IconTo Next Page
To Previous Page IconTo Previous Page
To Previous Page IconTo Previous Page
Loading...
Part
V
MiDI
a
a
a
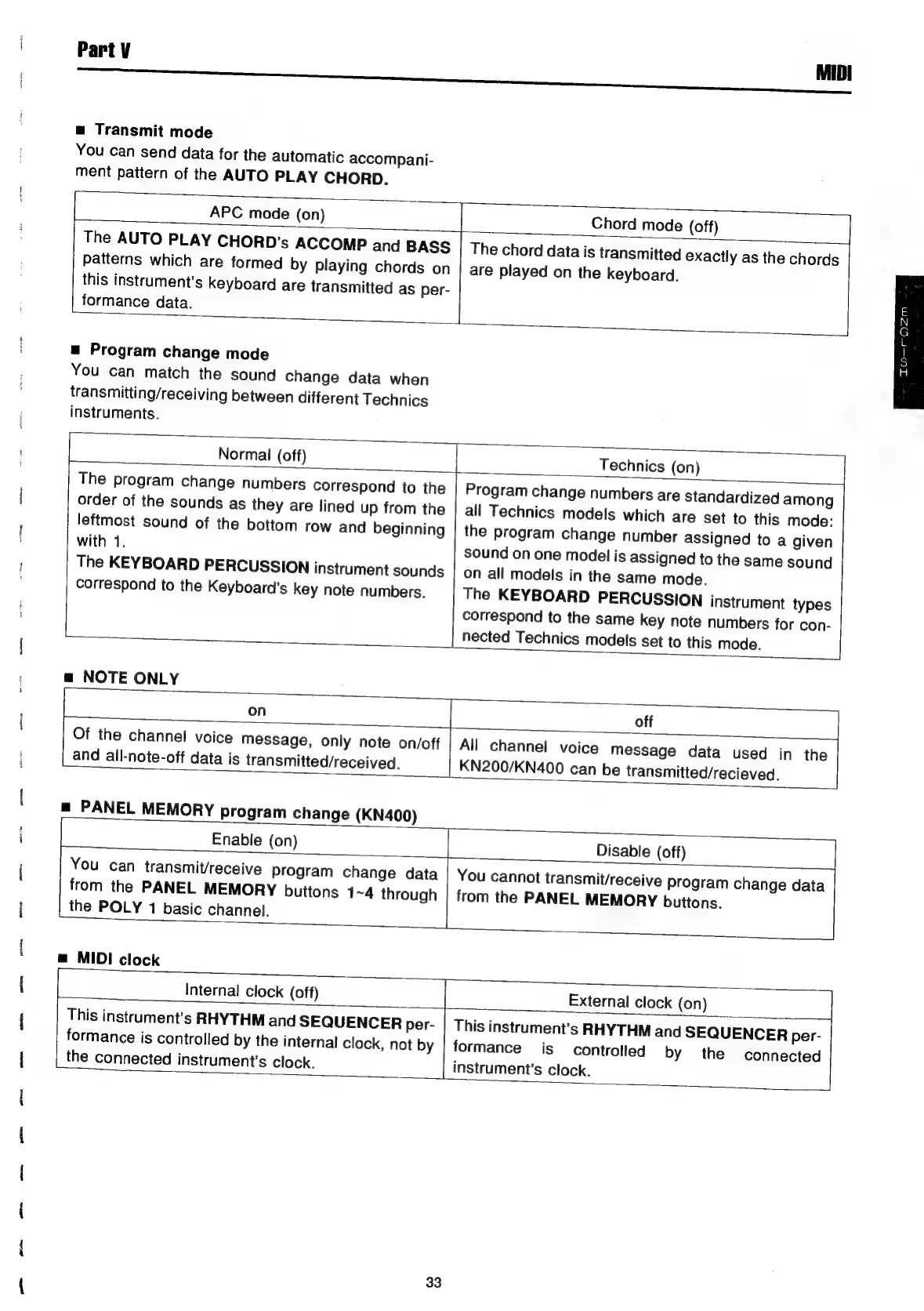
Transmit
mode
You
can
send
data
for
the
automatic
accompani-
ment
pattern
of
the
AUTO
PLAY
CHORD.
APC
mode
(on)
The
AUTO
PLAY
CHORD’s
ACCOMP
and
BASS
patterns
which
are
formed
by
playing
chords
on
this
instrument's
keyboard
are
transmitted
as
per-
formance
data.
Chord
mode
(off)
The
chord
data
is
transmitted
exactly
as
the
chords
are
played
on
the
keyboard.
m=
Program
change
mode
You
can
match
the
sound
change
data
when
transmitting/receiving
between
different
Technics
instruments.
IMO—--O2ZmM
[
Normal
(off)
Technics
(on)
The
program
change
numbers
correspond
to
the
order
of
the
sounds
as
they
are
lined
up
from
the
leftmost
sound
of
the
bottom
row
and
beginning
with
1.
The
KEYBOARD
PERCUSSION
instrument
sounds
correspond
to
the
Keyboard’s
key
note
numbers.
Program
change
numbers
are
standardized
among
all
Technics
models
which
are
set
to
this
mode:
the
program
change
number
assigned
to
a
given
sound
on
one
model
is
assigned
to
the
same
sound
on
all
models
in
the
same
mode.
The
KEYBOARD
PERCUSSION
instrument
types
correspond
to
the
same
key
note
numbers
for
con-
nected
Technics
models
set
to
this
mode.
me
NOTE
ONLY
on
off
All
channel
voice
message
data
used
in
the
KN200/KN400
can
be
transmitted/recieved.
Of
the
channel
voice
message,
only
note
on/off
and
all-note-off
data
is
transmitted/received.
m=
PANEL
MEMORY
program
change
(KN400)
Enable
(on)
Disable
(off)
You
can
transmit/receive
program
change
data
from
the
PANEL
MEMORY
buttons
1~4
through
the
POLY
1
basic
channel.
You
cannot
transmit/receive
program
change
data
from
the
PANEL
MEMORY
buttons.
a
MIDI
clock
Internal
clock
(off)
External
clock
(on)
This
instrument’s
RHYTHM
and
SEQUENCER
per-
|
This
instrument's
RHYTHM
and
SEQUENCER
per-
formance
is
controlled
by
the
internal
clock,
not
by
|
formance
is
controlled
by
the
connected
the
connected
instrument's
clock.
instrument's
clock.
33

Other manuals for Technics SX-KN440

Related product manuals