EasyManua.ls Logo

Texas Instruments SR-50 - Page 48

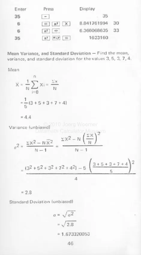
Texas Instruments SR-50
88 pages
Print Icon
To Next Page IconTo Next Page
To Next Page IconTo Next Page
To Previous Page IconTo Previous Page
To Previous Page IconTo Previous Page
Loading...
© 2010 Joerg Woerner
Datamath Calculator Museum

Related product manuals