EasyManua.ls Logo

TKM MX385 - Page 17

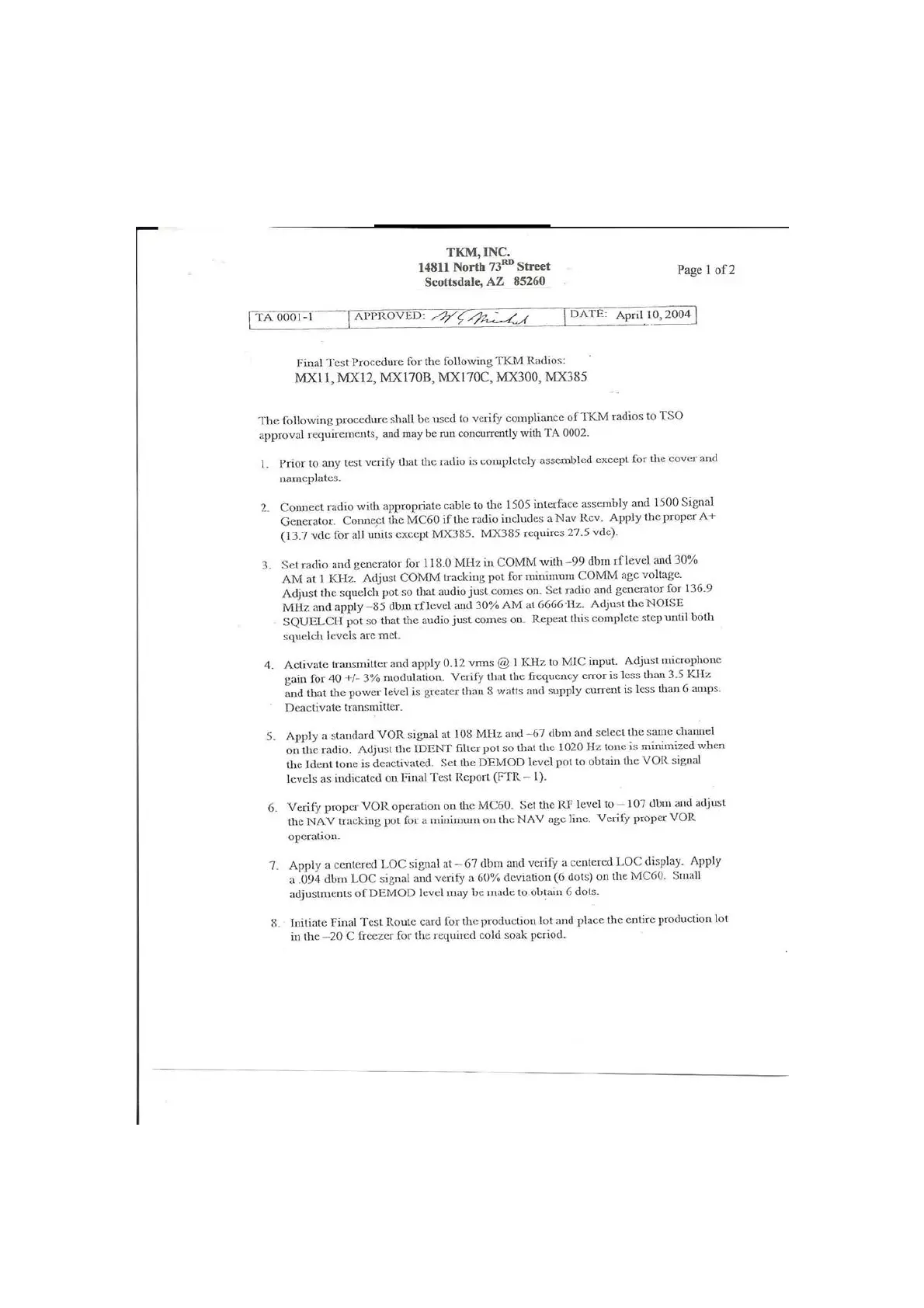
TKM MX385
149 pages
Print Icon
To Next Page IconTo Next Page
To Next Page IconTo Next Page
To Previous Page IconTo Previous Page
To Previous Page IconTo Previous Page
Loading...
17
SECTION VII
TEST PROCEDURES

Related product manuals