EasyManua.ls Logo

unicore UM980 - Production Requirement

Default Icon
27 pages
Print Icon
To Next Page IconTo Next Page
To Next Page IconTo Next Page
To Previous Page IconTo Previous Page
To Previous Page IconTo Previous Page
Loading...
UM980 User Manual
18
4 Production Requirement
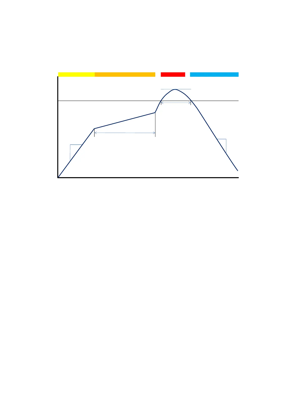
Recommended soldering temperature curve is as follows:
°C
250
217
200
150
100
50
0
Rising
Cooling Reflux
Peak 245 °C
40~60s
60~120s
Preheating
Max. 4°C/s
Max. 3°C/s
Time (s)
Figure 4-1 Soldering Temperature (Lead-free)
Temperature Rising Stage
Rising slope: Max. 3 °C/s
Rising temperature range: 50 °C ~ 150 °C
Preheating Stage
Preheating time: 60s ~ 120 s
Preheating temperature range: 150 °C ~ 180 °C
Reflux Stage
Over melting temperature (217 °C) time: 40s ~ 60 s
Peak temperature for soldering: no higher than 245 °C
Cooling Stage
Cooling slope: Max. 4 °C / s

Related product manuals